PAM Review: Energy Science & Technology, Vol. 6
ISSN 2205-5231 | Published by UTS ePRESS | https://epress.lib.uts.edu.au/student-journals/index.php/PAMR/index
A comparative analysis of waste heat recovery systems in vehicles and their viability in real-world applications
Jaiden op de Veigh1*, Nick Glynatsis2, Pasang Gurang3 and Chengmin Wang4
University of Technology Sydney, Faculty of Science, PO Box 123, Ultimo NSW 2017, Australia
1Jaiden.M.Opdeveigh@student.uts.edu.au
2Nick.Glynatsis@student.uts.edu.au
3Pasang.Gurang@student.uts.edu.au
4Chengmin.Wang-1@student.uts.edu.au
*Corresponding author: Jaiden op de Veigh, University of Technology Sydney, Faculty of Science, PO Box 123, Ultimo NSW 2017, Australia; Jaiden.M.Opdeveigh@student.uts.edu.au
DOI: https://doi.org/10.5130/pamr.v6i0.1549
Citation: de Veigh, J.,Glynatsis, N., Gurang, P., and Wang, C. 2019. A comparative analysis of waste heat recovery systems in vehicles and their viability in real-world applications. PAM Review: Energy Science & Technology, 6, Article ID 1549. https://doi.org/10.5130/pamr.v6i0.1549
© 2019 by the author(s). This is an Open Access article distributed under the terms of the Creative Commons Attribution 4.0 International (CC BY 4.0) License (https://creativecommons.org/licenses/by/4.0/), allowing third parties to copy and redistribute the material in any medium or format and to remix, transform, and build upon the material for any purpose, even commercially, provided the original work is properly cited and states its license.
Abstract
In motor vehicles, an average of 60-70% of the overall fuel energy is dissipated primarily through the heated exhaust gases and engine coolant, which accounts for 90% of an engine’s thermal output. The fuel efficiency and environment impact of vehicles can therefore be improved by implementation of systems designed to recover this wasted energy. This meta-study explores the current methods for waste heat recovery (WHR) currently in production and research phases. A comparison is also made between the thermodynamic viability of each proposed system, from which future strategies to maximise the efficiency of WHR systems can be obtained. These include the use of the organic Rankine cycle (ORC), thermoelectric generators (TEG), and regenerative braking. The purpose of this paper is to analyse the current state of research for waste heat recovery in vehicles and therefore provide a basis for further research and investigation. The results indicate a promising future for further study of ORCs in the field of WHR for internal combustion engines (ICE) in vehicles. This is due to the various design opportunities that ORCs offer, including multiple loop configurations, different working fluids and integration of thermal energy storage devices. Current research for TEGs indicate a high cost to efficiency ratio for the materials required for production, meaning that TEGs are not as viable of a solution for WHR in vehicles relative to ORCs. This paper concludes that a fuel savings of 8-19% can be achieved through the integration of multiple energy recovery systems.
Keywords
Waste Heat Recovery; Vehicles; Thermodynamics; Organic Rankine Cycle; Thermoelectric Generators; Regenerative Braking; Exergy
1. Introduction
In today’s ever expanding and highly interconnected world, transportation that is reliable, efficient and environmentally friendly has become a necessity. Internal combustion engine’s (ICE) currently account for roughly 60-70% of all fossil fuels consumed, with automobiles accounting for 40-50% [1]. The inefficiency of internal combustion engines causes roughly two-thirds of total energy input to output as waste heat, primarily through the vehicle exhaust and engine coolant [2]. Both engine efficiency and environmental impact would be reduced if this energy could be recovered and recycled. WHR systems have been proposed as a possible solution. These include the integration of ORC’s, TEG’s and regenerative braking. For example, the energy efficiency of a midsize cement plant can be reduced by up to 20% with the inclusion of an ORC system, cutting down the CO2 pollution by 10,000 tones/year [3].
1.1 Organic Rankine Cycle
1.1.1 Standard ORC Configuration
One way of utilising the heat lost from a vehicle’s exhaust gases is through an ORC system. In a standard ORC, a working fluid, which is an organic substance, is pumped into an evaporator via a pump and converted into saturated vapour by absorbing the heat energy of the vehicle’s exhaust gases. The working fluid, now in its vapour phase, is pushed through an expander to generate mechanical power. Such power is utilised to generate electrical energy via a generator. Finally, the vapour is passed through a condenser where it is thermodynamically cooled via a water inlet back to its liquid phase. This process is then repeated. ORC’s are not an extremely efficient form of WHR; however, ORC’s can work within “low” to “high” temperatures (below 373K and above 423K, respectively,) making them suitable for heat recovery in ICE’s [3].
The expander is one of the highest exergy destructive components of the ORC, and for the most efficient ORC system to be developed, the correct expander is required for the working fluid used and pressure generated by the system. There are two types of expanders applied in ORC’s: velocity type, which include axial turbines and radial-flow turbines, and positive displacement type, such as scroll expander, screw expander, piston expander, rotary vane expander. Each have their pros and cons, lubrication needs (to reduce wear) and uses in different systems.
The working fluid is a major component in the efficiency of an ORC system. Organic working fluids are chosen because of the lower boiling points compared to water, make it possible to recover energy from both low and high temperature waste heat sources. The fluid dictates the amount of energy produced, expended and lost by the system (post exhaust heat). Multiple working fluids have been tested to define and measure the parameters of each of the fluids, with the most common fluids being R123, R134a and R245fa [5,6]. The fluids were most likely used due to their higher measured exergy, thermal and isentropic efficiencies, along with the other parametric values such as critical temperature, density and heat of vaporisation. These parametric values were measured and calculated on an ORC system using a Bristol H20R483DBE Expander [5].
The original design of the ORC is a closed single looped system, as per described above. Mahmoudi et al. evaluates the effectiveness of different configurations of standard ORC systems, including the addition of another loop or cascading the original circuit [7]. Each configuration influenced the ORC’s total WHR, which will be examined in section 3.
1.1.2 ORC with integrated double latent thermal energy storage
Yu et al. investigated the integration of double Latent Thermal Energy Storage (LTES) into a standard ORC setup [8]. In this study, the authors evaluate the effectiveness of different Phase Changing Materials (PCMs) utilised in such configurations in order to overcome the unsteady nature of exhaust gases of which an ORC must work upon. Vehicle operation is dynamic and changes with time, which can have an adverse effect on the efficiency of an ORC system. The inclusion of double LTES helps potentially ensure that the system works in a steady state.
An ORC double LTES integrated system consists of a simple ORC apparatus with two attached LTES evaporators containing the specified PCM. PCM’s are latent heat storage units, as they can store and release energy in the form of heat once their latent heat of fusion has been reached. In this system, the exhaust gases flow into LTES evaporator 1, which holds the specified PCM. The exhaust gases heat the PCM, effectively charging it up until it reaches its latent heat of fusion (i.e. melting point). The exhaust gas heat is stored inside the PCM, and the remaining exhaust gases flow into LTES evaporator 2, which undergoes the same process as LTES evaporator 1. Whilst this happens, the working fluid enters LTES evaporator A and the ORC system commences its run until the PCM temperature decreases to the same temperature of the ORC system.
1.2 Thermoelectric Generators
A thermoelectric generator (TEG) is a solid-state device that can convert heat into electrical energy. The materials that make up TEG’s are either n-type and p-type semiconductors, the semiconductors working in a series electronic circuit while thermally connect in parallel. The temperature difference between both sides generate an electric potential, which is used to generate an electric current. The generation of power can be done at any temperature difference; however, the efficiency is dependent on the magnitude of the temperature difference, typically ranging between 5-10% [9].
The working principle of thermoelectric generators is the Seebeck effect, which is the conversion of heat energy into electrical energy at the connection between the two materials. The thermoelectric figure of merit (ZT) is an important parameter for comparing the efficiencies of different thermoelectric materials. ZT defines the intrinsic material properties of n-type and p-type semiconductors, and depends on electrical conductivity σ, Seebeck coefficient S, thermal conductivity κ and temperature T. The relation of ZT is given by Equation (1):
The thermoelectric figure of merit ZT indicated the performance of a thermoelectric material, where a larger value of ZT correlates to a higher efficiency. From equation 1, when the thermoelectric material has a higher electrical conductivity and lower thermal conductivity results in a greater ZT, which contributes to the efficiency η, given by Equation (2):
1.2.1 Advantages and Disadvantages
The advantages of thermoelectric generators are: direct energy conversion, no moving part and easier to install and maintain. Compared to the other waste heat recovery systems in vehicles, thermoelectric generators are reliable and easy to install, due to the design not containing any moving parts, compact size and lack of chemical reactions present in the system. The design is also highly durable, resulting in easier maintenance, whilst also remaining silent during operation.
The disadvantages of a thermoelectric generator include high cost and low efficiency, due to the immature development into this technology (primarily materials). Compared to other waste heat recovery systems, thermoelectric generators have an approximate 20% efficiency in a wide working temperature range [10]. The cost of thermoelectric generators installed on the vehicles is also more expensive depends on the raw material. The improvement of thermoelectric figure of merit ZT is the development direction of thermoelectric generators in recent year.
1.2.2 Materials
Most materials that appear in thermoelectric couples are semiconductors, the first reason is due to the larger Seebeck coefficient of semiconductors, exceeding 100 μV/K. Another reason is its high atomic weight (for example Bi2Te3 and its alloys with Sb, Sn and Pb). Also, the semiconductor component is reliable when working in ambient temperature (298K). The research into thermoelectric materials generally demonstrates that a heavily doped semiconductor with small bandgap is a good performing ZT-material [11].
Alloy materials are a popular choice in practical thermoelectric materials, for example Bi2Te3 and SiGe. Metal oxides are another option for thermoelectric couples, and are advantageous due to their chemical stability, lower cost and less environmental footprint [10]. Metal oxides are always considered when manufacturing thermoelectric generators with highly durable requirement. Ceramics are a favorable choice for thermoelectric materials operating in high temperatures. Oxides are rarely used in thermoelectric generators due to their poor carrier mobility, however there are some exceptions such as the high-performance thermoelectric oxide NaxCo2O4 [10].
The use of inorganic thermoelectric materials brings several issues such as environmental pollution, complicated manufacturing process and high cost. These issues cause the thermoelectric generator waste heat recovery system to not be as widely utilised in car manufacturing. Thus, the development of new types of thermoelectric materials with higher performance is an important research direction. Recent research shows the conductive polymer composites family containing insulating polymer matrices and conducting fillers have a promising application in thermoelectric materials, and without the disadvantages on the thermoelectric materials in use today [11].
1.2.3 Designs in Vehicles
Recently automobile manufacturers are looking into making their cars more efficient, and waste heat recovery systems play an import roll in this competition. Large car manufacturers such as BMW, Honda, Ford and Renault provide their own ideas of vehicle-mounted waste heat recovery systems, all of them are quite similar. The main idea is comprised of installing TEGs on the exhaust pipe surface. Different manufacturers have various shapes and designs and use the engine coolant to cool down the low temperature side of the TEG. There are both rectangular shape heat exchanger and another design with a hexagonal shape. These two designs are still in the concept stage and need more experimentation to verify the specific performance and efficiency. In BMW’s design, a row of shell and tube thermoelectric generators operating at high temperatures expect to produce 750W [12]. Honda’s design is to place two rectangular thermoelectric generator arrays on the both sides of the exhaust pipe (32mm × 30mm × 30mm), which produce approximately 500W and expect to reduce fuel consumption by 3%, [13]. Ford uses a parallel channel lined with the thermoelectric generators and rated to produce 400W [14]. Renault’s system is designed for use on diesel truck engines. This system combines two groups of thermoelectric generators working separately in low temperature and high temperature reservoir, the combined system has an expected gain approximately 1kW [15].
1.3 Regenerative braking energy recovery systems
This method of energy recovery varies in its effectiveness, as there are many variables that factor into the magnitude of energy recovered. The largest factor affecting the efficiency of regenerative braking is the amount of time taken to brake. Thus, it can’t be precisely known how much energy can be recovered for a specified vehicle and type of energy system used. This system would have the highest amount power production during long drives or highly brake heavy situation (i.e. city streets).
During a car’s braking cycle, the kinetic energy of the car’s movement is transformed into heat through the braking system however, the heat generated from this system is wasted with no recovery in a normal system. To reduce the inefficiency of a car’s braking there, exist a few methods with hydraulic braking shown to reduce this inefficiency substantially. The method uses both liquid and compressed air fluids with a reversible pump to direct liquid from a low-pressure accumulator to a high-pressure accumulator, the fluid forces the gas to decreased pressure and when the brake is released the reverse occurs effectively reversing the positions producing power and torque through the hydraulic motor.
This system allows for the braking system to store the previously lost kinetic energy as mechanical and creating substantial energy at the end of the process. There are two types of hydraulic braking systems: series and parallel. Parallel systems have been shown to reduce fuel consumptions by 25 - 36% [16]. The change of pressure, RPM or flow rate can impact the power production of the motor to a great degree. The engine in a hydraulic regenerative braking system has the wheels directly linked to the hydraulic motor rather than the engine. There consist two main types of hydraulic motors; a fixed or variable displacement motor. The amount of fluid required for one motor revolution is defined as displacement, with fixed providing constant torque and varying speeds by controlling the amount of input flow in the motor. Variable is the opposite with a constant input flow and pressure varying the torque-speed ratio to meet the requirement by varying displacement. Table 1 displays three different form of hydraulic motors and their parameters of operation; the table also highlights the advantages of each as the ‘other’ property.
Considering the information in Table 1 it is clear that the piston type is the most efficient and highest power generating motor. To find the amount of power produced by the hydraulic motor we need to first find the volume of fluid that moves per revolution:
Where V is volume per revolution (cm3/r), Q is flow rate (L/min), N is RPM. The RPM used is the highest RPM reachable by the motor. After finding the V the following equation can be used to find the Torque:
Where T is torque (N-m), p is maximum pressure achievable by the motor (bar). After the calculation of Torque, it is possible to calculate the output power of the motor using the following equation:
Where P is power (kW). Using the previous equations, we can see a clear correlation between the pressure and flow rate of the motor through T and V in its production of power.
1.4 Systems in development/production
Due to ever increasing stringent guidelines regarding CO2 emissions in many major continents around the world, car manufacturing companies are turning to waste heat recovery methods to improve the efficiency and performance of their vehicles. The main focus has been on the ORC and TEGs based on their reliability and useful power output. Aftermarket options are also available; BorgWarner’s Exhaust Heat Recovery System (EHRS) boasts an 8.5% improvement on fuel efficiency with a significant decrease in emissions in hybrid vehicles [18]. Double Arrow Engineering also designs and manufactures waste heat recovery systems primarily for large trucks, generators and marine vessels. Their design utilises the waste heat energy from both coolant and exhaust, and mechanically adds power back to the drive-chain [19].
BMW’s “turbosteamer” system initially unveiled in December 2005 was designed off a dual-cycle ORC system. The heated exhaust was connected to a primary circuit comprised of a heat exchanger which recovered the waste energy from the exhaust gases. A secondary circuit connected to the vehicle’s cooling system (i.e. radiator) gave a temperature difference between the condenser and evaporator [20]. This technology works by generating steam from conduction with the heated exhaust to create supplementary power, which is fed back into the crankshaft. An estimated 80% of heat energy was salvaged with a fuel efficiency savings of 15% [21].
Honda, the Japanese vehicle manufacturing company, has developed a thermoelectric generator module that attaches to the exhaust system. This design consists of flat rectangular boxes with TEGs placed on top and bottom of the exhaust pipes. Honda approximated a fuel efficiency savings of 3% with a total power output of 500W [22].
The French design and manufacturing company Exoes focus is on exhaust heat recovery systems and promote fuel savings of 5-15% [23]. Figure 1 depicts the levers for fuel consumption reduction over the past 30 years and makes a prediction for the future. As can be seen, WHR is the most promising method and is set to become more prevalent on the market in the coming decade. Exoes are currently working in collaboration with Sanden, a US company that focuses on the design and manufacturing of automotive HVAC (Heating, Ventilation and Air Conditioning) systems, to develop efficient scroll expander technology for WHR in automobiles using the ORC system.

Figure 1 Comparison of the 4 prominent factors in vehicle efficiency [23].
Tesla’s electric vehicles come equipped currently with regenerative braking technology. The system works by converting the car’s kinetic energy into useful chemical energy, which can be stored in the battery. This process also acts to slow the vehicle down. Like any recovery system there are losses, including wind resistance, rolling friction, etc. Tesla promotes an efficiency percentage of roughly 64% depending of driving conditions and style [24].
As part of the Global Fuel Economy Initiative (GFEI), Renault studied ORC systems and TEGs particularly for use in long-distance trucks. Their goal is to reduce fuel consumption by producing enough energy to power electrical auxiliary components and thereby reduce the load on the alternator [25].
2. Methods
This Meta-study ties in literature regarding WHR systems used in the transportation sector, both currently in production and also in the research phase. The focus was on papers obtained through Applied Energy, Procedia, Energy Conversion and Management journals and Thermal Engineering JOURNALS, centring on the stability in real-world applications outside of ideal laboratory conditions. Data was drawn from several mainstream academic databases, including SCOPUS, Science Direct, IEEE Xplore, INSPEC and Google Scholar. Papers that were published in the last 10 years were considered due to the rapid advancement of the automotive industry, unless more recent research conflicted with the earlier conclusions. To narrow the search, certain keywords were utilised including ORC, Heat Recovery, Thermodynamics, TEG, Working Fluid, Thermal efficiency, etc. In order to narrow down the research further, a criterion for each article found was formulated. Such a criterion ensured that each article contained an adequate amount of data relevant to the overall purpose of this paper. From this, a list of articles that were found had to be eliminated. The criteria followed is as per below:
- Must have experimental data relevant to thermodynamics properties of the particular system
- Outlines WHR systems specifically in vehicles and analyses their effect on WHR efficiency
- Explores the real-world applications of the system with a minimal focus on simulation data
Our initial pool consisted of roughly 60 sources made up of scientific papers, journals, articles, press releases, and miscellaneous websites. To further reduce our information reservoir, we removed sources that provided the same conclusions as 2 or more other sources. Some papers were also rejected due to their lack of relevance to thermodynamics and/or discussion on the efficiency of the system. This led to a final pool of 40 sources which was used to draw our results/conclusions. The data that was selected to be graphically presented was chosen due to its relevance to overall net power output and/or system efficiency. They aided in demonstrating the variances in results from different papers and researchers, allowing us to increase the accuracy of our conclusions.
3. Results and Discussion
3.1 Organic Rankine Cycle
3.1.1 Effect of Varying Configuration
Huang et al. examined the efficiency of two different dual-loop ORC’s (DLORC). Although both have a high and low temperature loop (for vehicles, high and low temperature sources refer to exhaust gases and engine coolant, respectively), their stage numbers differ. They concluded that the single stage cycle performed more efficiently relative to the cycle with two stages [26].
Kim et al. proposes that whilst DLORC’s can potentially obtain more power from WHR as compared to single looped (SLORC), SLORC’s are the more convenient and favourable option for vehicles due to their compactness and simpler design. In their paper, the authors examined the effectiveness of SLORC’s using the working fluid 1,1,1,2-Tetrafluoroethane from the heat of exhaust gases and engine coolant. Their results indicate that a novel SLORC created the greatest output power as compared to other conventional ORC’s, with the ability to produce 20% extra power from WHR [27]. Similarly, Chen et al. also acknowledges that in order to generate the maximum power possible from a vehicles waste heat, such waste heat from both exhaust gases and engine coolant should be recovered. However, whilst multi-source ORC systems can be extremely effective for WHR, their larger size and increased complexity are unsuitable for vehicle application. From this, the authors concluded that cascade expansion ORC systems (CCE ORC) using cyclo-pentane as the working fluid can produce 8% more net power as contrasted to dual-loop ORC systems, whilst also occupying a lower volume of a vehicle’s engine bay. The authors’ main focus is on the application of CCE ORC’s in larger vehicles such as diesel trucks, in which the vehicle of study is a turbocharged, intercooled diesel truck engine [28].
In their study, the authors compared the performance and compactness of CCE ORC’s to that of a dual-loop ORC, with the working fluid of each being cyclopentane and pentafluoro propane, respectively. Table 3 summarises some of important comparisons between each system. In both models, the design parameters of each are held the same, with the major difference being the exclusion of an intermediate heat exchanger in the CCE ORC design, as it does not require one. It was found that that more exergy is dissipated in the CCE ORC’s condenser and high temperature evaporator, whilst simultaneously dissipating less exergy in the unused exhaust gases. The authors also concluded that the mixing process for CCE ORC’s only loses about 1.2kW of exergy, as contrasted to DLORC’s which lose 4kW. This accounts for the increased thermal efficiency of the CCE ORC relative to the DLORC (11.67% as compared to 11.39%), as well as a higher exergy efficiency.
When comparing compactness, table x conveys the volumetric parameters of the main components of each design. From this data, the total volume of the heat exchangers in the CCE ORC setup is 19L less than that of the DLORC, whilst the volume flow rates of the pump in the CCE ORC also relatively smaller, corresponding to a smaller pump size. The diameter of the turbine rotor is calculated using equation 6, which shows that the turbines of the CCE ORC are in fact larger. However, due to the relatively smaller size of the turbines as contrasted to the rest of the apparatus, the authors concluded that overall the CCE ORC is more compact, hence more suitable for application in vehicles.
| Parameter | Component | CCE ORC | DLORC |
|---|---|---|---|
| Heat exchanger volume (L) | HT evaporator | 13.7 | 11.4 |
| LT evaporator | 21.1 | 20.8 | |
| Intermediate heat exchanger | - | 22.4 | |
| Condenser | 53.8 | 53.1 | |
| Total | 88.6 | 107.6 | |
| Pump | HT pump head (kPa) | 3198.7 | 3034.5 |
| HT pump flow rate (L/min) | 17.6 | 19.6 | |
| LT pump head (kPa) | 101.7 | 324.5 | |
| LT pump flow (L/min) | 23.4 | 51.3 | |
| Turbine | HT turbine volume expansion ratio | 20.9 | 15.7 |
| HT turbine rotor diameter (mm) | 42.3 | 37.7 | |
| LT turbine volume expansion ratio | 1.5 | 1.86 | |
| LT turbine rotor diameter (mm) | 121.7 | 82.7 |
3.1.2 Effect of Working Fluids
The effectiveness of the working fluid is dependent upon the type of ORC such fluid is used for. Mahmoudi et al. investigated the optimal working fluid for a standard ORC for a given temperature range, which is shown in table 5 [7]. Further, Chen et al. analysed the performance of six different organic working fluids for determining which to use in their CCE ORC, judging each by net power output of the system [28]. The authors stated two crucial points: critical temperature plays an important role in how effective a working fluid can be for a subcritical ORC system, as it limits the maximum evaporating temperature, and net power output increases with evaporating temperature. From this, they found that cyclopentane is the most viable working fluid to utilise within their CCE ORC as it has the highest critical temperature relative to the five other candidates, which corresponds to the greatest amount of net power output. It also has the fifth smallest molecular mass of the selections, meaning it would decrease the overall weight of the system. Figure 9 models the net power output (a) and exergy loss (b) of each working fluid within the CCE ORC as a function of evaporating temperature, from which it is evident that cyclopentane creates the highest amount of net power output whilst also having the lowest exergy loss within the evaporator.
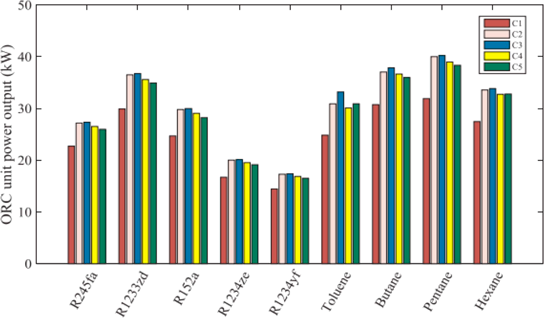
Similarly, Li studied the effects of working fluids with high critical temperatures such as toluene, n-heptane and R113 under high temperature applications, yielding thermal efficiencies of approximately 31% [29]. From these findings, Chatzopoulou and Markides were able to establish the working fluids to be tested upon in their ORC combined heat and power system (ORC CHP) [30]. As shown in figure 2. In their paper, the authors investigate five separate cases.
In Case 1 (C1) the ICE runs at nominal conditions and only the ORC engine is optimised for maximum power output. Case 2 (C2) the ICE is optimised for maximum power output, and the ORC engine is sized based on these results. Case 3 (C3) considers the simultaneous optimisation of the full ICE-ORC CHP system for maximum power output. In Case 4 (C4) the ICE is optimised for minimum specific fuel consumption (SFC) and the ORC engine is sized based upon such results. Finally, Case 5 (C5) considers the simultaneous optimisation of the full ICE-ORC CHP system for minimum SFC [30]. These results show that pentane is the best performing fluid.

Figure 2 The power output of the ORC using each working fluid, per case [30].
Mahmoudi et al. found that zeotropic mixtures (a combination of substances that have varying boiling points) are able to overcome the limitations of flammability and an increased temperature glide that siloxanes provide. The authors results show that for a DLORC, D4/R123 working fluids can provide a net power of 21.66kW, a thermal efficiency of 22.84%, exergy efficiency of 48.6% and exergy destruction of 19.64kW, which are the best thermodynamic results for zeotropic combinations. The authors also analysed further case studies, one involving the use of a cyclohexane/R141b mixture at a ratio of 50:50 on a diesel engine. They found that the ORC system increased the net power output to 88.7Kw, 13% higher than using lone cyclopentane [7]. Shu et al. analyses the use of a hydrocarbon/refrigerant retardant mixture for WHR in ORC systems. Whilst pure hydrocarbons are outstanding for use as working fluids in HT systems, their applications are limited due to their flammability hazard. However, this risk can be dampened by the addition of refrigerant retardants. The mass fractions, evaporation temperature and internal heat exchanger were analysed, and the results show that zeotropic mixtures at a specific mixture ratio have a higher thermal efficiency and lower exergy loss contrasted to pure fluids [31].
3.1.3 Double Latent Thermal Energy Storage Integration
To effectively analyse the LTES system, Yu et al. examined the performance and net power output of the integrated circuit under both steady state and dynamic conditions to conclude which PCM is most suitable.
Under steady state conditions, the authors performed an analysis of the system at different operating temperatures and a constant mass flow rate. Case 1 shows that the most viable PCM option is the LiNO3-KCl-NaNO3 due to its larger latent heat as compared to the other possible PCM’s, meaning it can isothermally store heat for a longer time period whilst also maintaining a much lower temperature. The results also show that the LiNO3-KCl-NaNO3 mixture has the longest discharging time of 41 minutes, which is an important factor for the ORC’s starting process. Furthermore, LiNO3-KCl-NaNO3 increases the evaporation temperature of the ORC’s working fluid, resulting in a higher work output. Cases 2 and 3 also shows that LiNO3-KCl-NaNO3 is the optimal PCM for this temperature range. Whilst other PCM options show a slight increase in total work output for the system, the LiNO3-KCl-NaNO3 has by far the largest discharge time, meaning the ORC can maintain a stable temperature profile for a total of 48.8 minutes whilst also generating a large amount of power output [8].
3.2 Thermoelectric Generators
3.2.1 Materials
The material used in thermoelectric generators is the main challenge for researchers. Generally, it is said the material affects the ZT value and efficiency most in the TEG system. However, thermoelectric materials used in prototypes from automobile manufacturers have an average ZT value around 1 or less. Normally, it is expected to have a ZT value above 2 with an efficiency larger than 10% to have a positive effect in practical use.
The study from He et al. provides the ZT values of thermoelectric materials tested in laboratory conditions, with a satisfactory result [11]. Table 6 is the ZT value of different Bi-Te based materials, which is one of the mainstream research directions, comes with a high ZT value. Bi2Te3 (bismuth telluride) has been vastly used in industrial TEG applications within the last decade. From table 6 , it is shown that Bi-Te based materials work from room temperature to around 1000K and have ZT values between 1.01 to 2.40. The highest ZT reported for Bi-Te based material is p-type Bi2Te3/Sb2Te3, which has a ZT value of 2.40. Table 7 lists some of the polymers and semiconductor thermoelectric materials. The highest ZT in table 7 is SnSe single crystal with a ZT value of 2.60. Although the ceramics have a lower ZT value than Bi-Te based materials, the higher working temperature still make competitive in practical applications. The semiconductors come with a high ZT value, which is a popular choice in thermoelectric devices. Even if the efficiencies of thermoelectric generators using semiconductors are still not good enough to challenge traditional generator-coolers, another disadvantage for semiconductors is the lower working temperature and the lack of flexibility. This results in the difficulties in application to thermoelectric generators in WHR systems on automobiles.
Research on thermoelectric materials using Jet Propulsion Laboratory (JPL) conducted by Caillat et al. introduces another method of applying different materials into practical conditions, with a wide range working temperature that have an average ZT value over 1 [32]. Based on Caillat et al. results, it is evident that the higher working temperature of the semiconductors is 975K. The study from Zheng et al. suggests that developing materials using more advanced methods such as super-lattice and plasma treatment have a promising improvement of both ZT value and range of working temperatures [33].

Figure 3 ZT values of state of JPL improved TE materials as a function of temperature (a) N-type and (b) P-type [33].
The temperature difference between hot-side and cold-side of the TEG is also a key point for efficiency improvement. The study from Tian et al. explained the process of temperature from hot and cold sources affect the TEG efficiency in diesel engines [34]. The peak value of both output power and conversion efficiency is when the external resistance and internal resistance are equal. When the temperature raised by 300K, the average conversion efficiency increased by 4.5%. The performances of the TEG increased significantly with higher working temperature. The difference between thermocouples is directly proportional to the efficiency of the generator (below the specified range of working temperature). Bi-Te based TEGs have an advantageous performance at optimal temperature, where segmented TEGs have a wider range with better performance below the optimal temperature; thus, segmented TEGs are a strong competitor to the Bi-Te based TEG. On the other hand, the cold source also affects the efficiency of TEG significantly. Segmented TEGs have a better performance than other two types of TEGs under all four temperatures. From the results Tian et al. reached, it can be concluded that the temperatures of both hot source and cold source critically effects the performance of TEGs. This conclusion impacts the design idea when TEGs are applied in automobile WHR systems, where a high-performance cooling mechanism must be developed in order to allow high temperatures to pass through the TEG.
3.2.2 Commercialisation
At the present stage, the cost of the thermoelectric materials in vehicles are very high due to the great expense of the raw materials required to produce them (tellurium and germanium). In order to overcome this, it is necessary to construct TEGs based off less expensive materials, thereby making them more competitive than other WHR systems currently in production. LeBlanc’s study of the costs of the raw materials of TEGs suggest that it is possible to dope an inexpensive material with an expensive material to increase cost performance [35]. Figure 4 conveys the cost values of various TEG materials based on certain raw materials.
Policy change is expected to stimulate the development of WHR systems in automobiles; for example, the new CO2 emission performance standard in Europe requires that CO2 emissions for passenger vehicles must drop to 135g/km by 2020 [9]. A heavy penalty will apply to the car manufacturers if the vehicles they produce do not meet this standard. This requirement will influence car manufacturers to allocate more resources to new advancements in WHR systems; thus, more funding on TEG development is expected. Similarly, photovoltaic cells have the same problems in regard to commercialisation, due to the high cost per power unit output and low conversion efficiency.

Figure 4 Cost of various TE materials based on raw material costs of the constituent elements [35].
3.3 Regenerative braking
Table 8 shows values for power change for the different flow rates at high and medium pressures. The graph highlights the trend of increasing power (at constant high pressure) with higher torque by increased volume per revolution, however, the increase in power would also occur with higher pressures. This method allows for the previously wasted heat of the braking system to instead be utilised in a process that allows for substantial decrease in the vehicles inefficiency.
This hydraulic-pneumatic braking system, however, has some drawbacks to their implementation. While the piston clearly has higher power production through higher specifications it would also increase the mass of the car needing more energy need from the combustion engine to travel lowering the efficiency. The implementation of this technology would also increase the maintenance required to operate your vehicle and having the wheels being directly connected to the motor instead increases the risk, should the motor or the hydraulic system fail. While being able to generate power from braking, the system would always require drawing electrical charge from the vehicles battery to operate, increasing the electrical needs for the car resulting in larger or more powerful batteries being required. For this specific hydraulic braking method to be widely used especially with more standard cars, the size of the accumulators would need to be decreased having less mass but still generating the same or higher pressures and flowrate.

Figure 5 The effect of high-pressure piston hydraulic motor torque on the production of power at a constant pressure of 420 bars. The figure displays a linear increase due to the pressure of the hydraulic motors being constant but torque increasing due to volume per revolution.
Future research on hydraulic braking could pursue the combination of hydraulic motors or acquiring two motors for one vehicle and operating each at optimal times. The parameters of the motor could also be altered with higher density fluids for similar or higher pressures while being compact. These parameters were possibly not tested due to the risk of containers bursting being unable to hold too large a pressure while keeping the container light. The combination of two motors to create a super motor is not possible, most likely the creation of a combination motor would result in a motor that performs in between the two chosen motors making it more efficient to choose the higher power producing motor (piston). However, this is not to say that such feats may not be possible in the future through discovery of better lightweight but stronger alloys or simpler methods of manufacturing or more efficient compact motors it could be possible to implement this system on a car without having the issues that are currently present.
3.4 WHR in production/development
In the transportation sector there are many car manufacturing companies that have grasped the importance of developing WHR systems to improve the overall efficiency and CO2 emissions of their vehicles. With the rise of hybrid and electric vehicles coming onto the market the opportunity for application is ever increasing. Also, new regulations in America, China, Japan and other major countries around the world have caused manufacturers to think outside the box with regards to the efficiency of their vehicles to meet these requirements [25].
3.4.1 BMW
The “Turbosteamer” developed by BMW and unveiled in December 2005 was designed off a dual-cycle ORC system. BMW were able to achieve up to 15% fuel savings along with an increase of 14 horsepower and 15 lb-ft of torque [20]. The system essentially has two separate circuits working in unison. The high-temperature circuit is connected via a heat exchanger to the exhaust system and recovers the heat energy lost by the internal combustion of the engine. A claimed 80% of the heat energy present in the exhaust system is recovered. The heated steam is then conducted directly through into the crankshaft adding power back to the engine [36].

Figure 6 Schematic diagram of BMW’s “Turbosteamer” design utilising a dual loop ORC [20]
Unfortunately, BMW has released little information with regards to the progress of this technology’s application in their production vehicles today. However, in 2015 the U.S. Department of Energy released a submission summary for the project entitle “Thermoelectric Waster Heat Recovery Program for Passenger Vehicles” [21]. This summary included BMW’s contribution to construing the packaging space and providing information on correct vehicle integration. As well as conducted the testing and evaluated the overall effect of the integration of a TEG system into a production vehicle, in this case test were conducted on a BMW X3 which showed little benefit or improvement on fuel economy. The integrated TEG system was test under 23oC, 40% r.h., and 963,0hPa, Peak power output from the TEG was 120W with an average power output of 30.2W and the TEG component consuming 6.5W of power [36].
3.4.2 Honda
Honda begun exploring utility of integrating an Organic-Raking cycle unit to improve the overall efficiency of their hybrid vehicles by utilising the wasted heat energy expelled in the exhaust system and converting into usable electrical energy that can be stored in the battery for later use. This research was unveiled in 2008 by a Honda engineer Kensaku Yamamoto in San Diego at the SAE Hybrid Vehicle Technology Symposium [37]. The results demonstrated a fuel efficiency improvement of 3.8% based upon the US highway cycle testing conditions. These conditions begin with a warmed-up engine and makes no stops, an average of 77km/h, top speed of 97km/h over 16km.
The system consists of a modified cylinder head with insulated exhaust ports; an Evaporator built into the catalytic convertor; a high-pressure water unit using water as the working fluid; Expander/Generator, and a condenser. The water pump forces water into the evaporator, converting it into steam through the conduction with the heat exchanger. The steam then is then used to rotate a turbine connected to an electric generator that in turn produces a current used to recharge the battery. The steam conditions range from 400-500oC at Honda have claimed a maximum power output of the volumetric expander of 32kW and thermal efficiency of 13% at 23kw [37]. Yamamoto stated in the SAE presentation that they would need to see higher efficiencies if this system was to be considered for mass production [38].
3.4.3 Exoes
Research has been conducted into systems of recovering exhaust heat for use elsewhere by the vehicle, either in reducing the heating time for the engine block via the engine coolant or faster cabin heating. Both methods have been proven to reduce emissions by reducing both the extra load placed upon the engine, and as an internal combustion engine is most efficient at its operation temperature the faster it can heat up to this temperature the more efficient it will be. An EHR system is currently in place in the Toyota Prius as seen by Figure 7.

Figure 7 EHRS schematic designed by Exoes designed to recirculate heat back to the engine block aiding in quicker warm-up time hence improving efficiency [39].
Exoes state that the two main constraints when considering a waste heat recovery system is the cost effectiveness of implementing such a system, and the quantity of part and expense of materials especially in the expander. In April 2014 Exoes announced that there had been no major steps forward with regards to the ideal expander design for appropriate working fluid substance [23]. Furthermore, in September 2018 Exoes and Sanden made a press release stating they will be working together to “make expander technology compliant with OEM constraints and available in a short-term period” [40]. Both companies believe the expander should be highly reliable, cost effective, and optimised for short-term payback.
4. Conclusions
This Meta-study has explored the current state of research into WHR systems in vehicles and their viability in the real-world. These systems are the ORC, TEG, and regenerative braking recovery systems. ORC systems are the most promising method of WHR in vehicles due to their robust nature and ability to be adapted for use in a wide array of applications.
The results indicate that altering the configurations of an ORC from a SLORC to a DLORC had an increase on both the overall power output and system efficiency. However, DLORC systems are not viable for applications in vehicles due to their physical restraints. Proposed methods such as cascaded and integrated double latent thermal energy storage ORC systems are more compact and poses a higher overall power output and efficiency relative to DLORC systems.
TEG systems have been shown to increase the efficiency of vehicles, however, their production is currently limited due to the limited thermoelectric properties and high cost of the raw materials. Proposed solutions include an investigation into the development of materials using super-lattice and plasma treatment, or the possibility of doping inexpensive materials to decrease production costs and increase ZT value.
Regenerative braking systems have been proven to be an efficient system for WHR in vehicles, as shown by their inclusion in numerous Tesla automobiles. However, their presence on the market is severely affected by the expensive cost of implementation.
As each system attempts to tackle the issue of vehicle efficiency from different angles, the best approach would be to create an integrated system which incorporates the most efficient ORC, TEG and regenerative braking systems currently available/in research.
Acknowledgments
The authors would like to acknowledge the efforts of Joshua Pritchard, Blake Regan, Liam Martin and Jurgen Schulte in aiding with the development of this paper.
References
1. Shin DH, Kim S, Ko HS, Shin Y. Performance enhancement of heat recovery from engine exhaust gas using corona wind [Internet]. 2018;173:210–8. Available from: http://www.sciencedirect.com/science/article/pii/S0196890418307969
2. Shu G, Liu L, Tian H, Wei H, Yu G. Parametric and working fluid analysis of a dual-loop organic Rankine cycle (DORC) used in engine waste heat recovery [Internet]. 2014;113:1188–98. Available from: http://www.sciencedirect.com/science/article/pii/S0306261913006624
3. Badescu V, Aboaltabooq MHK, Pop H, Apostol V, Prisecaru M, Prisecaru T. Avoiding malfunction of ORC-based systems for heat recovery from internal combustion engines under multiple operation conditions [Internet]. 2019. p. 977–86. (Applied Thermal Engineering; vol. 150). Available from: http://www.sciencedirect.com/science/article/pii/S1359431118360514
4. [Internet]. 2019 [cited 20 May 2019]. Available from: https://library.e.abb.com/public/33bc62e5369e4b92852577e5007a3646/ABB%20ICR%20NOV%2010%20low%20res.pdf
5. Darvish K, Ehyaei M, Atabi F, Rosen M. Selection of Optimum Working Fluid for Organic Rankine Cycles by Exergy and Exergy-Economic Analyses. Sustainability. 2015;7(11):15362-15383.
6. Alshammari F, Karvountzis-Kontakiotis A, Pesyridis A, Usman M. Expander Technologies for Automotive Engine Organic Rankine Cycle Applications. Energies. 2018;11(7):1905.
7. Mahmoudi A, Fazli M, Morad MR. A recent review of waste heat recovery by Organic Rankine Cycle [Internet]. 2018. p. 660–75. (Applied Thermal Engineering; vol. 143). Available from: http://www.sciencedirect.com/science/article/pii/S1359431118301248
8. Yu X, Li Z, Lu Y, Huang R, Roskilly AP. Investigation of organic Rankine cycle integrated with double latent thermal energy storage for engine waste heat recovery [Internet]. 2019. p. 1098–112. (Energy; vol. 170). Available from: http://www.sciencedirect.com/science/article/pii/S0360544218325702
9. Champier D. Thermoelectric generators: A review of applications. Energy Conversion and Management. 2017;140:167-181.
10. Orr B, Akbarzadeh A, Mochizuki M, Singh R. A review of car waste heat recovery systems utilising thermoelectric generators and heat pipes. Applied Thermal Engineering. 2016;101:490-495.
11. He W, Zhang G, Zhang X, Ji J, Li G, Zhao X. Recent development and application of thermoelectric generator and cooler. Applied Energy. 2015;143:1-25.
12. J. LaGrandeur, D. Crane, S. Hung, B. Mazar, A. Eder, Automotive waste heat conversion to electric power using skutterudite, TAGS, PbTe and BiTe, International Conference on Thermoelectrics (2006) 343–348.
13. M. Mori, T. Yamagami, M. Sorazawa, T. Miyabe, S. Takahashi, T. Haraguchi, Simulation of fuel economy effectiveness of exhaust heat recovery system using thermoelectric generator in a series hybrid, SAE Int. J. Mater. Manuf. 4 (2011) 1268–1276.
14. Q.E. Hussain, D.R. Brigham, C.W. Maranville, Thermoelectric exhaust heat recovery for hybrid vehicles, SAE Int. J. Engines 2 (2009) 1132–1142.
15. N. Espinosa, M. Lazard, L. Aixala, H. Scherrer, Modeling a thermoelectric generator applied to diesel automotive heat recovery, J. Electron. Mater. 39 (2010) 1446–1455.
16. Kepner R. Hydraulic Power Assist – A Demonstration of Hydraulic Hybrid Vehicle Regenerative Braking in a Road Vehicle Application [Internet]. JSTOR. 2002. Available from: https://www.jstor.org/stable/44718608
17. Wasbari F, Bakar R, Gan L, Tahir M, Yusof A. A review of compressed-air hybrid technology in vehicle system. Renewable and Sustainable Energy Reviews. 2017;67:935-953.
18. BorgWarner Innovation Helps Hybrids Significantly Improve Fuel Efficiency and Reduce Emissions - BorgWarner [Internet]. Borgwarner.com. 2019 [cited 16 May 2019]. Available from: https://www.borgwarner.com/newsroom/press-releases/2018/07/30/borgwarner-innovation-helps-hybrids-significantly-improve-fuel-efficiency-and-reduce-emissions
19. Double Arrow Engineering – Double Arrow [Internet]. doublearroweng.com. 2019 [cited 16 May 2019]. Available from: http://www.doublearroweng.com/
20. [Internet]. 2019 [cited 16 May 2019]. Available from: https://www.energy.gov/sites/prod/files/2014/03/f8/deer09_obieglo.pdf
21. BMW provides an update on waste heat recovery projects; Turbosteamer and the Thermoelectric Generator [Internet]. Green Car Congress. 2019 [cited 16 May 2019]. Available from: https://www.greencarcongress.com/2011/08/bmwthermal-20110830.html
22. Honda Researching Advanced Hybrid Drive with Rankine Cycle Co-Generation [Internet]. Green Car Congress. 2019 [cited 16 May 2019]. Available from: https://www.greencarcongress.com/2008/02/honda-researchi.html
23. [Internet]. 2019 [cited 16 May 2019]. Available from: 1. http://exoes.com/site_v2/wp-content/uploads/2018/09/20180917_PressRelease_SANDEN_EXOES.pdf
24. The Magic of Tesla Roadster Regenerative Braking [Internet]. Tesla.com. 2019 [cited 20 May 2019]. Available from: https://www.tesla.com/en_AU/blog/magic-tesla-roadster-regenerative-braking
25. [Internet]. Www3.cedare.int. 2019 [cited 20 May 2019]. Available from: http://www3.cedare.int/images/gfei_egypt_report_jan-28_final__english.pdf
26. Huang H, Niu Y, Mo X. Syn-collisional granitoids in the Qilian Block on the Northern Tibetan Plateau: A long-lasting magmatism since continental collision through slab steepening [Internet]. 2016. p. 99–109. (Lithos). Available from: http://www.sciencedirect.com/science/article/pii/S0024493715004703
27. Kim YM, Shin DG, Kim CG, Cho GB. Single-loop organic Rankine cycles for engine waste heat recovery using both low- and high-temperature heat sources [Internet]. 2016. p. 482–94. (Energy; vol. 96). Available from: http://www.sciencedirect.com/science/article/pii/S0360544215017375
28. Chen T, Zhuge W, Zhang Y, Zhang L. A novel cascade organic Rankine cycle (ORC) system for waste heat recovery of truck diesel engines [Internet]. 2017. p. 210–23. (Energy Conversion and Management; vol. 138). Available from: http://www.sciencedirect.com/science/article/pii/S0196890417300729
29. Li G. Organic Rankine cycle performance evaluation and thermoeconomic assessment with various applications part I: Energy and exergy performance evaluation [Internet]. 2016. p. 477–99. (Renewable and Sustainable Energy Reviews; vol. 53). Available from: http://www.sciencedirect.com/science/article/pii/S1364032115009302
30. Chatzopoulou MA, Markides CN. Thermodynamic optimisation of a high-electrical efficiency integrated internal combustion engine – Organic Rankine cycle combined heat and power system [Internet]. 2018. p. 1229–51. (Applied Energy; vol. 226). Available from: http://www.sciencedirect.com/science/article/pii/S0306261918308870
31. Shu G, Gao Y, Tian H, Wei H, Liang X. Study of mixtures based on hydrocarbons used in ORC (Organic Rankine Cycle) for engine waste heat recovery [Internet]. 2014. p. 428–38. (Energy; vol. 74). Available from: http://www.sciencedirect.com/science/article/pii/S0360544214008299
32. Caillat T, Fleurial J P, Borshchevsky A. Development of high efficiency thermoelectric generators using advanced thermoelectric materials. AIP Conference Proceedings. AIP, 1998. 420(1): 1647-1651. https://doi.org/10.1063/1.54794
33. Zheng, X., Liu, C., Yan, Y. and Wang, Q. A review of thermoelectrics research – Recent developments and potentials for sustainable and renewable energy applications. Renewable and Sustainable Energy Reviews. 2014;32, pp.486-503. https://doi.org/10.1016/j.rser.2013.12.053
34. Tian H, Sun X, Jia Q, Liang X, Shu G, Wang X. Comparison and parameter optimization of a segmented thermoelectric generator by using the high temperature exhaust of a diesel engine. Energy. 2015;84:121-130. https://doi.org/10.1016/j.energy.2015.02.063
35. LeBlanc S. Thermoelectric generators: Linking material properties and systems engineering for waste heat recovery applications. Sustainable Materials and Technologies. 2014;1-2:26-35. https://doi.org/10.1016/j.susmat.2014.11.002
36. BMW Turbosteamer creates heat for efficiency | DrivingtheNation [Internet]. Driving the Nation. 2019 [cited 16 May 2019]. Available from: https://www.drivingthenation.com/bmw-heat/
37. Kadota M, Yamamoto K. Advanced Transient Simulation on Hybrid Vehicle Using Rankine Cycle System. 2009;1:240–7. Available from: http://www.jstor.org/stable/26308276
38. [Internet]. Osti.gov. 2019 [cited 16 May 2019]. Available from: https://www.osti.gov/servlets/purl/1337561
39. Lu Y, Roskilly A, Yu X. The Development and Application of Organic Rankine Cycle for Vehicle Waste Heat Recovery. 2019. Available from: https://www.intechopen.com/books/organic-rankine-cycle-technology-for-heat-recovery/the-development-and-application-of-organic-rankine-cycle-for-vehicle-waste-heat-recovery
40. [Internet]. 2019 [cited 16 May 2019]. Available from: https://www.energy.gov/sites/prod/files/2014/03/f8/deer11_barrieu.pdf




