PORTAL Journal of Multidisciplinary International Studies, Vol. 16, No. 1/2 2019
PORTAL is published under the auspices of UTSePress, Sydney, Australia. ISSN: 1449-2490; http://epress.lib.uts.edu.au/ojs/index.php/portal
RESEARCH ARTICLE
Food Security and Asset Creation in Solomon Islands: Gender and the Political Economy of Agricultural Production for Honiara Central Market
1 Humanitarian and Development Research Initiative (HADRI), Western Sydney University
2 University of Wollongong
3 HADRI, Western Sydney University
4 HADRI, Western Sydney University
Corresponding author: Associate Professor Nichole Georgeou, Humanitarian and Development Research Initiative (HADRI), Western Sydney University, Locked Bag 1797, Penrith NSW 2751, Australia. Email: N.Georgeou@westernsydney.edu.au
DOI: https://doi.org/10.5130/pjmis.v16i1-2.6542
Article History: Received 04/04/2019; Revised 13/08/2019; Accepted 16/08/2019; Published 13/11/2019
Citation: Georgeou, N., Hawksley, C., Monks, J. and Ki'i, M. 2019. Food Security and Asset Creation in Solomon Islands: Gender and the Political Economy of Agricultural Production for Honiara Central Market. PORTAL Journal of Multidisciplinary International Studies, 16:1/2, 101-119. https://doi.org/10.5130/pjmis.v16i1-2.6542
© 2019 by the author(s). This is an Open Access article distributed under the terms of the Creative Commons Attribution 4.0 International (CC BY 4.0) License (https://creativecommons.org/licenses/by/4.0/), allowing third parties to copy and redistribute the material in any medium or format and to remix, transform, and build upon the material for any purpose, even commercially, provided the original work is properly cited and states its license.
Abstract
This article presents data from a 2017 survey of vendors selling fresh produce at the Honiara Central Market (HCM) over a twelve-week period from July–September. It aims to understand the economic contribution of vendors, and in particular of producer-vendors, to their communities. Detailed geospatial mapping of the origin of produce sold at HCM illustrates the scope of production for market. Data shows that 70 percent of all produce comes from villages on Guadalcanal to the east of Honiara, with intensive production for market also to the West of Honiara, from Central Province (Savo, Nggelas), and important market trade from parts of Malaita, and New Georgia. There is very limited engagement with HCM from Choiseul and Temotu, and none from Makira and Renbel. The data also indicates that the majority of producer-vendors at the HCM are women, and that the average sale of fresh produce on Fridays generates amounts of income higher than the minimum daily wage. We examine these findings using a lens of food security with a focus on asset creation. We show the economic benefit of market selling for women tends to involve lower value crops of leafy greens, nuts, fruits and root vegetables, while men are more dominant in more lucrative cash crops such as melon.
Keywords
Food security; Asset Creation; Gender; Solomon Islands; Pacific Islands
In some parts of the Pacific, particularly Micronesia, subsistence agriculture is becoming increasingly precarious due to the historical effects of urbanisation, export crop plantations, resource extraction, expensive imported foods, distant water nations’ overfishing, remoteness from global supply chains, and climate change (Connell 2014). These issues all resonate with food security, the most widely accepted definition of which derives from the 1996 World Food Summit Plan of Action, which describes it as a ‘state in which all people, at all times, have physical and economic access to sufficient, safe and nutritious food to meet their dietary needs and food preferences for an active and healthy life’ (FAO 1996; 2002). The ‘2011–2015 Pacific Food Security Draft Framework for Action: Toward Food Security in the Pacific’ recognizes that the changes in food supply and demand pose a growing threat to food security and have impacts on the health of Pacific populations (SPC 2010: 4).
Following this broadly accepted definition of food security, the intersection of agricultural production, resource extraction and changing climate and other diverse factors are integral to understanding the food security challenges and opportunities of populations. The complex interplay and inter-relationship of these factors can be conceptualised as four key components that comprise food security: food availability; food access; food utilization; and asset creation. (Renzaho & Mellor 2010: 5).
Building on Georgeou, Hawksley and Monks’s (2018) analysis of the availability of fresh produce at Honiara Central Market (HCM), this article explores ‘asset creation’ among rural communities in Solomon Islands that provide the agricultural produce sold at HCM, the largest fresh produce market in the country. Asset creation is understood as the ability to maintain or rehabilitate assets people rely on to obtain food, including the ability of households to produce food, that is, home gardens, and employment generation or income transfer (Renzaho & Mellor 2010: 5). The previous study demonstrated the diversity and quantity of fresh food available for sale at HCM and concluded: first, that fresh agricultural produce was being purchased for local consumption; and second, that produce was also being purchased at HCM by re-sellers who resold the same produce to urban Honiara residents at roadside stalls. This article extends those findings and focuses on the sale of agricultural produce by farmers and resellers to argue that smallholder agricultural production can and does play an important role in asset creation for rural residents through revenue earned from market sales at the same time as increasing the food security of urban residents by guaranteeing regular access to fresh food. We examine the geographic extent of the food systems that supply HCM, and then estimate the economic importance by region of production from the sales of produce at HCM.
This article has four parts. We first use a component of food security—asset creation—to examine the macro positioning of domestic agricultural within the political economy of Solomon Islands, making note of the health implications that have resulted from the outward orientated economy. We then present the data gathered from the survey and explain the method of map generation. Third we present findings from the data, noting the important role of domestic agricultural production in the rural Solomon Islands economy, and the possibilities for women to earn income. In the final section we assess the contribution of market producer-vendors through the lens of asset creation making observations on the links between production for market sale, and the contribution of rural agriculture to human security and food security for Solomon Islanders.
Part I: Food Security and Domestic Agriculture in Solomon Islands
The Melanesian state of Solomon Islands experienced significant disruptions to its food security during the tensions (1998–2003), affecting livelihoods and wellbeing. The violence disrupted food production, food supply and sale at market. On the northern plains of Guadalcanal around 25,000 people were evicted and internally displaced (Fraenkel, Allen & Brock, 2010: 68). Palm oil production ceased at the massive Guadalcanal Plains Palm Oil Limited (GPPOL), to the east of Honiara (AusAID 2006: 10). On the Weather Coast food gardens were abandoned as people fled from conflict—the usually carefully tended gardens were overrun by an influx of pests and diseases, with the loss of particular varieties of taro and yam (Wilson 2013). While the political and social tensions mostly centred on Guadalcanal, other provinces suffered through disruptions to export agricultural supply chains based in Honiara, especially producers of copra and cacao.
From 2003 to 2017 Solomon Islands hosted the Regional Assistance Mission to Solomon Islands (RAMSI). During this period, RAMSI re-established central control through a significant policing support program (Hawksley & Georgeou 2015: 145-149; 2016: 199–203). The economy also turned around, largely under the tutelage of initially around 100 advisors in the Ministry of Finance and Treasury, which by 2013 had been scaled back to 25. Amongst other matter, these officials worked to tighten tax collection—state revenue increased almost tenfold, from SI$258.2 million in 2002 to over SI$2.5 billion in 2012 (SIG/RAMSI 2017: 51). There was a steady rise in GDP, which quickly rebounded from the tensions-led minus-14.26 percent contraction of 2000, to an impressive 13.19 percent growth in 2011. GDP has since stabilised at around 3 percent (World Bank 2019), and while the improved Solomon Islands Government (SIG) bottom line has facilitated foreign direct investment (FDI), despite attempts to broaden its economic base Solomon Islands has remained largely aid dependent (RAMSI 2017: 52) and thus subject to donor priorities for economic development. In the case of Solomon Islands this has meant boosting agricultural exports to reverse the balance of trade rather than supporting the development of smallholder (producer-vendor) production for domestic consumption.
Under RAMSI Solomon Islands has become more integrated into the global economy. Asian Development Bank figures (ADB: 2019) show that exports are now over ten times their 2000 value: the SI$331.3 million of 2000 grew to SI$3,699.6 million by 2017. The country’s exports remain mostly rough wood (68 percent), and processed fish (7.5 percent), however export agriculture has become increasingly important as a source of income generation (OEC 2017a). Local farmers are encouraged to develop and grow specific crops: coconut (for oil and copra) and cacao (for chocolate). Solomon Islands exported USD$ 28.7 million of palm oil (4.1 percent of exports), predominantly from Guadalcanal Plains Palm Oil Limited (GPPOL) to the east of Honiara, which has been active since 2005, and which buys palm oil from ‘out-grower’ blocks operated by local landholders (Fraenkel Allen & Brock 2010: 70). Feeney et al. (2013: 4) note that this provides considerable income for local people, who divide their time between growing produce for market (HCM) and growing palm fruit. Not all areas of Solomon Islands are as fecund as the plains east of Honiara, which Fraenkel, Allen and Brock (2010: 65) note is ‘the largest contiguous area of arable land in the Pacific Islands’; however growers on other islands (Russel, Savo) contribute to USD$18.8 million in copra (2.7 percent of exports), USD$17.8 million in coconut oil (2.6 percent) and USD$10.7 million in cacao beans (1.5 percent). Developing the export of copra, coconut oil and cacao is a main focus of the Australian aid programs, along with encouraging tourism. The crops destined for the global market total 10.9 percent of all exports.
While exports have increased, imports have grown by almost the same magnitude, from SI$469.9 million in 2000 to SI$4,010 million in 2017. In terms of trade balance, the 2017 figure of minus-SI$310 million was an improvement on the 2010 figure of minus SI$1,442 million, yet despite increasing exports and imports, during the entire RAMSI period the trade balance remained consistently negative (ADB 2019: 6). A worrying feature for Solomon Islands is the type of imports, which has implications for diet. In 2017 USD $70.8 million was spent on imported foodstuffs (12 percent of imports), which included USD$8.57 million on pasta, over 98 percent of which came from China (46 percent) or South East Asia. A further $54.4 million (9.2 percent) was spent on vegetable products, which included USD$40.7 on rice (OEC 2017b).1 The imported pasta is instant noodles—quick and easy to prepare but with low nutritional value. For the last two years (2016 and 2017) 5 percent of Solomon Islands total imports from its largest trading partner, China, have been pasta (OEC 2017c). As with other Pacific Islands countries, the deepening integration of Solomon Islands with the global market has led to changes in diet, the implications of which are reflected in the rise in non-communicable diseases such as diabetes and obesity (World Bank 2016).
While aid programs focus on developing the export agricultural sector to reverse the balance of payments, SIG is committed to developing policy and program options to improve access to lokal kaikai (local foods) (Underhill 2018: 6) that are both cheaper and more nutritious than most processed (usually imported) foods. There is official encouragement for urban sup-sup gardens2 and some mixed farming in the peri-urban areas of Honiara. The population of the capital has grown substantially—including its peri urban areas (from White River to Burns Creek), Honiara has increased from 65,000 in the 2009 census to an estimated 100,000 people today (Georgeou & Hawksley 2017: 69), and it is the producer-vendors from Guadalcanal and other provinces who bring their goods to HCM who largely meet the fresh fruit and vegetable needs of Honiara residents. Export agriculture does bring income, but arguably there is also substantial revenue to be generated from supplying fresh produce to HCM, and to other Honiara markets (see Keen & Ride 2018a; 2018b).3
Selling at market is a form of asset creation, defined as ‘putting in place structures and systems that sustain a household’s or individuals’ ability to withstand sudden shocks that threaten their access to food including economic and climatic crises (eg drought, flood) or seasonal food shortage,’ and there are five types of capital assets: human, natural, financial, social and physical. In a broad sense asset creation involves the ability to ‘maintain/rehabilitate assets people rely on to obtain food,’ which may include the ability of households to produce food, that is, home gardens, employment generation or income transfer (Renzaho & Mellor 2010: 5–6).
In the next section we describe the method used for the survey that collected data over a three-month period. We then outline the main findings before examining them through the lens of asset creation to highlight the important role of smallholder agricultural production to the availability of fresh produce and the nutritional diversity of diet in Honiara, the possibilities for income generation and increased reliance from shocks, and enhanced food security for Solomon Islanders.
Part II: Presentation of Data
The 2017 survey aimed to understand what produce was sold at HCM, who sold it, the quantities sold, who it was sold by, who it was sold for, at what cost, and where produce came from. It used data on quantity and price to estimate the total revenue. Estimating revenue presented a particular challenge given the diversity and fluidity of measures used at HCM and the variety of produce (81 different types of fresh produce). Four enumerators (three female and one male, reflecting the gender mix of market vendors) administered a pencil and paper survey in Solomons (Melanesian) pidgin, with answers recorded in English. Data collection at HCM was undertaken every Friday over a 12-week period between Friday 7 July and Friday 22 September. The four enumerators rotated each week through the six different sections of the market that sold fresh produce. A stratified sampling method was utilised to control the distribution of fieldwork among enumerators, specifically to ensure that vendors were not surveyed twice in one day by different enumerators. In each sector, simple random sampling of 20-25 vendors was undertaken. Enumerators worked from 9am-3pm each Friday, the second busiest market day, which enabled enumerators to capture the flow of vendors, i.e. those who sold fresh produce at HCM for less than one whole day.
Data cleaning
Enumerators collected a total of 1214 vendor surveys, however during the data cleaning process many of these records were deemed incomplete and were omitted from the final count, which then reduced to 965 (n=965). In compiling maps of produce types, some of the vendors surveyed sold more than one class of item. There is thus one record for each item sold by each vendor, which yields a higher overall number of produce records (n=1303). Of the 965 vendor records, we were able to establish geospatial locations for 820 origins of produce and 1085 produce records. Of the 965 vendor records, there were 690 (71.5 percent) individual vendors who reported as producing (growing) the goods they sold, giving us a figure of 690 ‘producer-vendors.’ The quantity of data gathered during the survey period enabled the generation of maps based on: gender; produce type; origin of produce; quantity of produce; density of production; modes of transport used; children; dependents; and various combinations of the above.
Mapping
Data was adapted for presentation through geo-spatial mapping, a process that involved several steps. Of the 965 cleaned vendor records we were able to establish 820 village locations, which equated to 1085 produce records. The produce origin locations were divided into seven lists: East Guadalcanal—all locations to the East of Honiara both on the plains and in the mountain ranges; West Guadalcanal—all villages West of Honiara both on the plains and in mountain ranges; South Guadalcanal (the Weather Coast); Honiara—all settlements in the immediate hills behind Honiara CDB, as well as peri-urban areas of Burns Creek and White River; Central Province—Savo Island, Nggelas and Russell Islands; Malaita; and Other, with the latter covering fish from Western Province (particularly Noro town on New Georgia) and small amounts of produce from Isabel, Choiseul and Temotu. These master village lists were then checked and cross-checked by Solomon Islands researchers for accuracy.
In order to generate the maps, the raw point coordinate data was processed through assigning the longitude and latitude to the standard WGS 84 spatial reference system. This spatial data was bound to the rest of the HCM producer-vendor survey data which allowed for both spatial queries and queries on the content of the data. The Google Maps API (reference) was used in the dynamic fetching of the base layer maps based on bounding box queries (determined by the subset of data to be mapped). Aesthetic assignments were then made from variables in the survey data to visual components of the resulting visualisation. For all the maps, other than those simply showing the location, the continuous variable of interest was assigned to the radius of the point and the grouping variable of produce category was set to its colour. A constant alpha transparency of 0.6 was assigned to these plots, allowing multiple types of produce coming from the same source to be seen. A faceting variable of gender was used to split the data into two mutually exclusive subsets, with these sets displayed on side-by-side maps with shared axes, making it easier to draw visual comparisons. This process was implemented through the R statistical computing language for the processing of the data, with the sf (simple features) package used to manage the spatial metadata. The ggplot2 package was used to implement visual aesthetic assignment of variables with the ggmap package being used to integrate these aesthetics with the Google Maps API for base layer images.
Depending on the variable requested, two maps were initially generated: one map for Guadalcanal due to the quantity of produce; and one map for all other parts of Solomon Islands.4 In some situations the density of clustering required maps by specific provinces (i.e. Central Province) to see the precise geographic distribution of market activity. A gendered breakdown is presented for each map to show the economic contribution of female vendors at HCM to the food security of their communities through asset creation through the sale of fresh produce at HCM.
Revenue
We estimate likely cash revenue from market sales on Fridays only over the 12 weeks of surveys in one three-month period in a single year (in SI$, and assuming full return of all moneys to the village) by declared quantity from vendors, price per unit and weight. The estimated revenue for twelve Fridays between July and September 2017 should not be extrapolated—crops change due to seasons, crop production declines or increases over time, and producer-vendors are not always present every day at market or selling the same crops. It was judged statistically unsafe to estimate even weekly revenue due to the large number of assumptions that would need to be made.5
At the time of the survey the average revenue of $104 per market visit was substantially (over three times) above the minimum wage of SI$4 per hour. In December 2018 Solomon Islands’ government announced the minimum wage would rise from SI$4 to SI$8 per hour in 2019. This was made official from 1 August 2019 (SIBC 2019). For an 8-hour working day at the new rate, the minimum wage is SI$64 a day, and $320 a week, or $1280 a month for a 40–hour working week. 6 The new daily minimum wage rates of $64/day are 60 per cent lower than the 2017 average market sale rates on Fridays during the survey period (SI$104).
Limitations of study
This study only examines income generated from the sale of fresh produce at HCM on Fridays over a three-month period. The three-month period did not allow for seasonal variation, nor for difference or variation in market supply according to the timing of agricultural production and supply regions.7 The study was a vendor survey and not a household survey. It did not ask vendors for economic data from households and while we estimate possible revenue from HCM, this is the only form of income measured and we do not account for any other sources of household income from vendors or other members of the household (including waged employment, other casual paid employment, and other sources of income).
Explanation of Maps
Maps 1 through 5 show the total number of vendor records (n=1303) by gender, and are linked to origin of produce (villages). Regional maps show subsets of the total.
Maps 6 through 10 illustrate produce data by village (n=912) from the 690 producer-vendor records, with regional maps showing subsets of the total. With the exception of Map 1, in order to represent the dispersion of villages that supply produce to HCM the scale has been reduced to cover only those areas from which records were obtained. Where the focus is on produce from other islands, records of produce from Guadalcanal are not included.
Part III: Interpretation of Data
Map 1 shows the geographic origins of produce sold at HCM from villages across Solomon Islands, which stretches some 1500 km from the Shortland Islands (under Bougainville Islands) in the West to Temotu Province in the East. Map 1 shows a strong clustering of production on Guadalcanal, adjacent islands with diminishing engagement the further from market. No produce records were recorded from Renbel or Makira provinces during the survey period, and just one from Temotu. This is the only map that presents all produce instances for across Solomon Islands. Hereinafter the one data set from Temotu is excised for reasons of map scale.
Map 2 shows origins of produce on Guadalcanal are heavily concentrated along the North coast, and through areas connected by the network of roads, both sealed (the highway) and unsealed (i.e. logging and access roads). Data from HCM revealed producer-vendors are overwhelmingly female: 604/690 women (87.5 percent) to 86/690 (12.5 percent) men. There are many more records of women bringing produce to HCM from more villages than there are for men, including from areas difficult to access (five villages on the Weather coast).
Map 3 shows a concentration of produce at HCM coming from villages in Central Province (Savo/Nggelas) for both women and men. Vendors brought produce to HCM from as far away as Western Province (Noro), Isabel and Malaita. There were also two records of women bringing produce from Choiseul, and one from Temotu (not shown due to scale), however no produce was recorded from the Provinces of Makira or Renbel.
Map 4 indicates the large variety of produce from Guadalcanal coming to HCM, and the weight. Across the northern coast of Guadalcanal there is a long string of villages that grow all types of produce for HCM. There is particularly strong engagement with HCM from villages and regions to the east of Honiara for both women and men, and a dominance of records for women.
Map 5 shows women and men at HCM sell large amounts (c. 5-6,000 kg) of fish that originates from Noro (Western Province), with smaller amounts of seafood brought by men coming from Nggelas, Russel, Isabel and Malaita. Both women and men resell fish at HCM. Central province vendors sell gourds, nuts, fruits and root vegetables. These are less perishable goods than leafy greens, thus minimising post-harvest loss (see also Underhill 2018: 3). Map 5 demonstrates that those selling seafood (primarily whole fish) that is sourced from Noro at HCM are able to earn up to SI$60,000 during the twelve Fridays of the survey period. These vendors are not ‘producer-vendors’ but resellers, and it is likely this produce is purchased from trawlers (fish not deemed worth keeping for export), and likely in Honiara. Women at HCM sell more fish than men by weight.
Map 6 shows the density of women producer-vendors at HCM from east of Honiara. There is high density of production of leafy greens, nuts, and beans/legumes along the central plains, and poultry from Honiara. The revenue for women ranges from small (SI$ 2-3,000) to substantial (around SI$20,000) during the survey period. This is distributed widely between villages along the coast and up into the central mountains. There are fewer male producer-vendors overall, but some are earning larger amounts. For example, some men from the Reko region (c. 50km from Honiara) earned up to $30,000 from selling fruit, and some root vegetables, during the survey period. The sealed road ends at the bridge by GPPOL3, leaving at least one third of the journey to Honiara to be undertaken by trucks on unsealed roads.
Map 7 shows strong market engagement from women producer-vendors in West Guadalcanal, but more limited engagement from men. The largest revenue is around $15,000 during the survey period for fruit, beans/legumes and vegetables from the Visale/Tina region (c. 40km from Honiara). There is consistent income (SI$6-9,000) to villages west of Honiara around to Lambi (c. 60km from Honiara), with revenue coming mostly from the sale of fruit and gourds. South Guadalcanal has limited market engagement with five villages recording revenue from market sale of root vegetable of around SI$3,000.
Map 8 indicates women producer-vendors from Malaita bring root vegetables, leafy greens, fruit and other assorted produce, deriving revenue of up to SI$8,000 for one village. Men from North Malaita also bring root vegetables (c.$12,000). Central Province has heavy concentrations of produce from Savo, Nggela, and to a lesser extent Russel Islands.
Map 9 shows producer-vendors from Savo and Nggela are important contributors to fresh food availability at HCM, especially gourds, nuts, fruits and root vegetables, and megapode eggs. Both women and men derived income of up to SI$12,000 during the survey period. On Savo Island women’s economic contribution occurs in more villages, but data from men in one village reports more revenue.
Map 10 shows women from eight villages on Savo Island in this survey earn up to $3000 from leafy greens, fruit and megapode eggs, while men from Panueli village focus on one high value crop (melon) and earn up to SI$12,000. This reflects the dominance of men in cash crops, although the overall economic contribution of women on Savo (population 3,137 in 2009 census) is greater overall.
Asset Creation
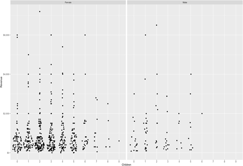
By charting the estimated revenue on a sina plot,8 we can demonstrate the overall picture of how most female and male producer-vendors engage with the HCM and how many children (Figure 1) and dependents (Figure 2) they support. The estimate of total revenue for all clean vendor data (n=965) is SI$1,451,451 for all Fridays over the twelve weeks. In examining the contribution of total revenue for producer-vendors only (n=690) over same period, we derive a figure of SI$861,784. Figure 1 (below) shows the average revenue for any producer-vendor (outliers removed n=674) selling on Fridays at HCM by gender, and the number of children in the household. This is calculated at SI$1248 over the survey period, or approximately SI$104 per day. Figure 2 (below) shows all dependents, including elderly family members, with estimated revenue by gender.
For most women the estimated total amount of HCM revenue earned on Fridays during the survey period was less than SI $2,000. There is considerable divergence in the mean and median earnings of women, with the mean measuring SI$1,132.30 and the median just over half of that ($600). For men, the difference between mean and median was almost three times: a mean of $2,067 and a median of $712.

Figure 1 Producer-vendors by gender, revenue and number of children in $SI (outliers removed; n=674).

Figure 2 Producer-vendors, by gender, revenue and number of dependents in $SI (outliers removed; n=674).
At the time of the survey the average revenue of $104 per market visit was substantially (over three times) above the minimum wage of SI$4 per hour. In December 2018 Solomon Islands’ government announced the minimum wage would rise from SI$4 to SI$8 per hour in 2019. This was made official from 1 August 2019 (SIBC 2019). For an 8-hour working day at the new rate, the minimum wage is SI$64 a day, and $320 a week, or $1280 a month for a 40–hour working week. 9 The new daily minimum wage rates of $64/day are 60 per cent lower than the 2017 average market sale rates on Fridays during the survey period (SI$104).
Part IV: Discussion
The discussion below addresses the findings in terms of the five aspects of asset creation: human, social, financial, physical and natural. The findings show that communities in close time proximity to HCM and with access to the road network (those in East Guadalcanal) derive the greatest financial benefit from trading at HCM. Other key factors that affect the physical dimension of asset creation include the legal or regulatory frameworks in place that enable people to generate income from farming, such as policy around the location of markets and security of vendors at markets. Keen and Ride (2018a: 2) note that ‘The current Honiara City Council market ordinance applies only to two markets, has no provisions for community-run markets, and is outdated. This creates land tenure uncertainty and discourages investment in community markets.’10 Furthermore, the RAMSI intervention to secure peace and stability focused on formal processes and institutions of state building but paid little attention to community-based peace arrangements, or to solving the land disputes that were an underlying cause of the conflict (Hawksley & Georgeou 2015: 134).
This policy disconnect raises questions about the effectiveness of existing development infrastructure for smallholder agricultural production and its potential for asset creation, especially as external interventions tend not to have community ownership, nor a focus on the processes that support the physical infrastructure initiatives that would enhance asset creation for smallholder agricultural production. For example, the Australian government’s Strongim Bisnis (Strengthening Business) Program promotes integration and business development11 based around cacao, coconut and tourism. Its orientation is international, aiming to link Solomon Islands with the global economy to boost exports (Australian Aid 2019). Despite previous donor aid attempts to advance economic development for rural women, little attention has been paid to the importance of market production to the rural economy. An added problem is that community markets’ ‘lack of legal standing means the threat of closure by government adds to livelihood insecurity and vendor reluctance to engage politically’ (Keen & Ride 2018b: 1–2).
Underhill’s (2018) study of food wastage in produce brought to HCM from Malaita highlights the dimension of human capital, which includes knowledge creation and the generation of ‘key leaders in the various aspects of the food system’ (Renzaho & Mellor 2010: 6). Georgeou et al.’s (2018: 38) survey of HCM consumers found one third of all consumers were reselling produce in other parts of Honiara, a phenomenon also recorded by Underhill who identified significant levels of on-selling (sometimes at lower prices) as being an important contributor to limiting waste and minimising loss at HCM. Arguably this trend of on-selling within Honiara facilitates nutritional diversity throughout the urban and peri-urban areas as produce is dispersed into small roadside stalls in urban settlements, rather than being left to spoil. It also provides income generation opportunities for urban on-sellers, most of whom are women from other parts of Solomon Islands who have moved to Honiara (Knot 2009: 89).
Factors that might influence profit include inputs into food production during growing and harvesting (seedlings, pesticides), costs of food processing, packaging, storage and transportation, food waste management, food marketing and market regulation. Underhill (2018) found that the size of the fruit sold at HCM and the relative swiftness of transport (a 6-hour ferry trip) meant food wastage was limited: under 5 percent for watermelon, 12.5 percent for pineapple. It was however up to 33 percent for English cabbage. It is clear that Malaitan farmers are selective, transporting to market select crops that have a lower chance of perishing quickly if they do not sell on the first day. Nuts, root vegetables and larger fruits with thicker skins transport better over long distances in contrast to perishables such as leafy greens. Vendors utilising several modes of transport for their produce also have to contend with high fuel prices, which would affect profitability.
Areas of natural fecundity can produce a range of produce for HCM. The producer-vendors of East Guadalcanal who live in close proximity to the GPPOL plantations can even earn extra revenue from ‘out-growing’ palm fruit for sale to the company. Intense market engagement in this region indicates great interest in earning additional revenue at HCM, although the presence of the GPPOL (Fraenkel, Allen & Brock 2010: 73) makes it likely this is not the only revenue in this region.
The financial assets for food security encompass employment generation, income transfer and money supply through diversified loan sources and affordable credit alternatives. While we are unable to ascertain the proportion of produce immediately after harvest that is diverted to debt retirement, nor how much revenue is actually profit, from 2013 banks operating in Solomon Islands have developed mobile banking and financial literacy courses to reach up to 65,000 customers in rural areas for vendors (Solomon Times 2014), while UN Women’s Markets for Change Program offers training in financial literacy (UN Women 2019).
Nutritious locally grown foods can enhance the wealth of rural communities through income generation from the sale of produce at HCM and other Honiara markets. Sale of agricultural produce at HCM is thus a significant enabler of Solomon Islands’ fresh food supply system (Underhill 2018: 5), while at the same representing a key feature of community sustainability for rural Solomon Islanders (Georgeou & Hawksley 2017) through asset creation. It is likely that just from Friday sales producer-vendors can, on average earn around $104 per day, which is 40 percent higher than the new minimum wage of $8 per hour ($64 per day), and over three times the previous minimum wage of $4 per hour ($32 per day).12
Women are central to the agricultural sector (Ward 1995: 1; Pollard 2004; Georgeou & Hawksley 2017, 2018) and are responsible for the production of the majority of subsistence foods. Despite the numerical dominance of women at HCM, they are more likely to be involved in low-income agricultural activities while men appear to be more involved in the production, sale and marketing of more financially lucrative cash crops, that is, watermelon (Hedditch & Manuel 2010; Georgeou & Hawksley 2017). Agriculture is the largest sector of employment for women aged 15–49 (41 percent) and for men in the same age bracket (54.4 percent) (SINSO 2015: 37), and women were less likely to be employed on Malaita (24.7 percent employment), than in Western province (31.9 percent), Honiara (36.3 percent) or Guadalcanal (43.4 percent) or in ‘Other Provinces’ (47.8 percent). The 2015 figures for women’s employment, based on surveys of over 6,000 women, recorded a national employment rate of 37.1 percent, with employment slightly higher in urban (40.9 percent) than rural areas (35.9 percent), however in Honiara just over one third (36.3 percent) of women were employed, making reselling an attractive option. In the rest of Guadalcanal, the employment figure was 43.4 percent, still less than half the population. The absence of waged employment options in many parts of rural Solomon Islands makes agricultural production for market an attractive means to create assets.
Conclusions
With over half of the people in rural Solomon Islands not having regular paid employment, the sale of produce at HCM is clearly important for communities that are linked to HCM. The fact that communities from the Weather Coast, Malaita and Isabel are coming to HCM perhaps indicates as much about the absence of alternate employment opportunities as it does the absence of closer alternative markets.
Production of agricultural produce for global export represents one avenue rural people have for gaining income, but more attention should be paid by aid donors to recognising the significant income generation that occurs from sale of produce to the domestic market, particularly with respect to the activities of women agricultural producers and how this articulates with food security. More wealth is being generated by those who can access the market via roads, although the absence of sealed roads does not prevent people from selling at market, even from remote areas.
Money raised from ‘marketing’ is in some more remote communities the main or even only source of cash for households and thus the primary source of cash flow to communities. The data demonstrates that women are heavily engaged in the production and sale of a large variety of lower-value staples such as vegetables (beans, legumes), nuts and fruits, while male producer-vendors dominate the production and sale at market of heavier high-value cash crops, particularly fruits such as melon and pineapple. Agricultural production for domestic consumption reproduces gendered norms and assumptions around men engaging with the cash crop economy, while women generate assets through market sale. Access to and control over resources in the hands of women supports basic household expenses, as well as school fees and food & community (i.e. church) obligations. Even when men sell produce at market, women hold the cash and return it to the community (Georgeou & Hawksley 2017: 84). Estimates of revenue from this study indicate that market revenue on Fridays is far more profitable than minimum wage labour, even at the new higher rate of SI$8 an hour. As such, the numbers of vendors and diverse geographic links of market selling plays an important role in the asset creation of villages and communities in many parts of rural Solomon Islands, as well as the food security of urban Honiara residents.
Acknowledgements
The authors thank: the evaluation team in Solomon Islands (Dr Anouk Ride, Mary Kivo, Mirriam Resture, Debbie Lukisi and Emmanuelle Mangalle); Honiara City Council; the vendors and consumers who participated in the survey of Honiara Central Market; and the two unnamed reviewers for their constructive comments.
References
Australian Broadcasting Corporation (ABC), 2019, ‘Long Overdue Rise in Minimum Wage is Imminent in Solomon Islands,’ Pacific Beat, 2 January. Online, available: https://www.abc.net.au/radio-australia/programs/pacificbeat/sols-minimum-wage/10678548 [Accessed 30 March 2019].
Asian Development Bank (ADB). 2019, ‘Key Indicators; Solomon Islands 2018.’ Online, available: https://data.adb.org/dataset/solomon-islands-key-indicators [Accessed 30 January 2019].
Australian Agency for International Development (AusAID). 2006, Solomon Islands Smallholder Agriculture Study: Vol. 1 Main Findings and Recommendations. Report prepared by R. M. Bourke, A. McGregor, M. Allen, B. Evans, B. Mullen, A. Pollard, M. Wairiu & S. Zotalis. AusAID, Canberra.
Australian Aid. 2019, ‘Strongim Bisnis.’ Online, available: https://strongimbisnis.com.sb/ [Accessed 30 January 2019].
Connell, J. 2014, ‘Food Security in the Island Pacific: Is Micronesia as Far Away as Ever?,’ Regional Environmental Change, 28 September. Online, available: https://link.springer.com/article/10.1007/s10113-014-0696-7 [Accessed 30 January 2019].
Food and Agriculture Organization (FAO). 1996, ‘Rome Declaration on World Food Security,’ World Food Summit, Rome.
______ 2002, ‘The State of Food Insecurity in the World 2001,’ Rome.
Fraenkel, J., Allen, M. & Brock, H., 2010, The Resumption of Palm-oil Production on Guadalcanal’s Nnorthern Plains. Pacific Economic Bulletin, vol. 25, no. 1: 64–75.
Georgeou, N. & Hawksley, C. 2017, ‘Challenges for Sustainable Communities in Solomon Islands: Food Production, Market Sale and Livelihoods on Savo Island,’ PORTAL Journal of Multidisciplinary International Studies, vol. 14, no. 2: 67–86. DOI: https://doi.org/10.5130/portal.v14i2.5411.
Hawksley, C. & Georgeou, N. 2015, ‘Transitional Justice as Police-building in Solomon Islands: Tensions of State Building and Implications for Gender,’ in Current Issues in Transitional Justice: Towards a More Holistic Approach, (ed) N. Szablewska & S.-D. Bachmann. Springer Series in Transitional Justice, Cham, Switzerland: 133–160.
______ 2016, ‘The Responsibility to Protect and the “Responsibility to Assist”: Developing Human Rights Protection Through Police Building,’ The United Nations and Genocide, (ed) D. Mayersen. Palgrave Macmillan, Basingstoke, UK: 188–209.
Georgeou, N., Hawksley, C. & Monks, J. 2018, ‘Food Security in Solomon Islands: Preliminary Results from a Survey of the Honiara Central Market,’ Pacific Dynamics, vol. 2, no. 1: 53–70. Online, available: https://ir.canterbury.ac.nz/handle/10092/15610 [Accessed 30 January 2019].
Honiara City Council. 2019, ‘Central Market to Open Seven Days a Week,’ 25 July, @HoniaraCity (Honiara City Council Facebook Page).
Keen, M. and Ride, A. 2018a, ‘Markets Matter: Enhancing Livelihoods and Localities,’ ANU Department of Pacific Affairs in Brief 2018/10. Online, available: https://www.researchgate.net/publication/325038382_Markets_Matter_Enhancing_Livelihoods_and_Localities [Accessed 30 January 2019].
Keen, M. and Ride, A. 2018b, ‘Markets Matter: Market Vendor Views on Security and Social Inclusion in Honiara, Solomon Islands,’ ANU Department of Pacific Affairs in Brief 2018/12. Online, available: https://openresearch-repository.anu.edu.au/handle/1885/143480 [Accessed 30 January 2019].
Knot, M. 2009, Fasin Laef: Urban Women Migrant Experience in Honiara, Solomon Islands. Master of Arts, Concordia University, Canada.
OEC. 2019a ‘What does the Solomon Islands Import from China (2017)?’ Observatory of Economic Complexity. Online, available: https://atlas.media.mit.edu/en/visualize/tree_map/hs92/import/slb/chn/show/2017/ [Accessed 30 January 2019].
OEC. 2019b, ‘Where Does Solomon Islands Import From (2017)?’ Observatory of Economic Complexity. Online, available: https://atlas.media.mit.edu/en/visualize/tree_map/hs92/import/slb/show/all/2017/ [Accessed 30 January 2019].
OEC. 2019c, ‘Where Does the Solomon Islands Import Pasta From (2017)?’ Observatory of Economic Complexity. Online, available: https://atlas.media.mit.edu/en/visualize/tree_map/hs92/import/slb/show/1902/2017/ [Accessed 30 January 2019].
Solomon Times. 2018, ‘Mobile Banking and Financial Literacy to Increase,’ 5 August. Online, available: https://www.solomontimes.com/news/mobile-banking-and-financial-literacy-to-increase/8232 [Accessed 25 March 2019].
Solomon Islands Government/Regional Assistance Mission to Solomon Islands (SIG/RAMSI) RAMSI End of Mission Report to Parliament. 2017, Online, available: http://www.parliament.gov.sb/files/business&procedure/tabled_papers/10th_Parliament/2017/sig-ramsi-report14yrs.pdf [Accessed 2 February 2019].
Renzaho, A. M. N. & Mellor, D. 2010, ‘Food Security Measurement in Cultural Pluralism: Missing the Point or Conceptual Misunderstanding?,’ Nutrition, vol. 26, no. 1: 1–9. https://doi.org/10.1016/j.nut.2009.05.001
Solomon Islands Broadcasting Coorporation (SIBC). 2019, ‘Minimum Wage Doubled’ 10 August. Online, available: http://www.sibconline.com.sb/minimum-wage-doubled/ [Accessed 10 August 2019].
SINSO (Solomon Islands National Statistics Office) 2015, ‘Solomon Islands Demographic and Health Survey 2015,’ Solomon Islands National Statistics Office, Solomon Islands Ministry of Health and Medical Services and the Pacific Community. Online, available: http://ghdx.healthdata.org/record/solomon-islands-demographic-and-health-survey-2015 [Accessed 30 January 2019].
South Pacific Commission (SPC). 2010, ‘2011–2015 Pacific Food Security Draft Framework for Action: Toward Food Security in the Pacific.’ Online, available: https://webcache.googleusercontent.com/search?q=cache:T17-kjYCjoEJ:https://lrd.spc.int/pafnet-publications/doc_download/1055-towards-a-food-secure-pacific-2011-2015-+&cd=6&hl=en&ct=clnk&gl=au [Accessed 12 November 2018].
Underhill, S. J. R. 2018, Final Project Report, FAO-Funded LoA ref SAP 2017/16 Policy Measures for the Reduction of Food Loss/Waste Along Fruit and Vegetable Value Chains, FAO of the UN, August.
Wilson, C. 2013, ‘Climate Change Makes Life Tougher for Solomon Island Farmers,’ IPS (Inter Press Service), 7 May. Online, available: http://www.ipsnews.net/2013/05/climate-change-makes-life-tougher-for-solomon-island-farmers/ [Accessed 30 January 2019].
World Bank. 2016, ‘Pacific Possible: Health and Non-Communicable Diseases.’ Background Paper, (Report by Hou, Xiaohui, Ian Anderson and Ethan-John Burton-Mckenzie). Online, available: http://pubdocs.worldbank.org/en/942781466064200339/pacific-possible-health.pdf. [Accessed 12 November 2018].
World Bank. 2019, ‘Solomon Islands: GDP Annual Growth Rate.’ Online, available: https://data.worldbank.org/indicator/NY.GDP.MKTP.KD.ZG?end=2017&locations=SB&start=1967&view=chart [Accessed 12 November 2018].
UN Women. 2019, ‘Markets for Change,’ UN Women Australia. https://unwomen.org.au/our-work/projects/safer-markets/. [Accessed 30 January 2019].
1 The value of imported rice and pasta (US$49.27 million) is greater than the revenue earned from exporting copra, coconut and cacao (US$ 47.3 million).
2 Sup-sup gardens are small household gardens alongside a kitchen or on land close by that supplement a household.
3 Roadside stalls and informal markets are present in many locations in Honiara. Some are established but unregulated (Fishing Village, Henderson, White River, Borderline, Talise). Formal markets also exist in larger towns (Gizo, Auki).
4 The one record from Temotu (61 kg of root vegetables which came by air) was excluded from mapping depictions as it altered the scale and distorted the visualisation of origin of produce, produce type, density of production and estimated revenue.
5 The same caveats exist for monthly, three-monthly and annual revenue. We abandoned attempts to estimate weekly revenue due to too many unreliable assumptions. Weekly trading figures were initially determined by plotting the Honiara City Council (HCC) market vendor fees collected on survey day (Friday = 1.0) and multiplying these by a factor of 5.89 (derived from HCC data for all days in October and November in 2014). In terms of estimating earning, the number of sellers at HCM increased from Monday (0.89) to Fridays (1.0), with most sellers present on Saturdays (1.2). Sunday was the quietest trading day (0.2 of Friday). The figure of 5.89 was, however, unreliable as there were too many ‘unknown unknowns.’ Until July 2019 Sunday trading was unofficial, although people still shopped and fees were still collected. On 25 July 2019 the Honiara City Council announced via its Facebook page that the market would formally open on Sundays, effective 28 July: ‘to allow the general public to have access to fresh market produces any given time of the week. Also this would help the market vendors to have access to sell their products throughout the week’ (HCC 2019). The HCC announcement of Sunday trading formalised a previously informal practice.
6 The change commenced on 1 August 2019 (SIBC 2019), raising the minimum wage from SI$4 per hour to SI$8. The minimum wage is offered as a comparison, although skilled employment often receive many multiples of the minimum wage. At August 2019 the SI$ (officially the ‘SBD’) to US exchange rate was US$1 to SI$8.21—minimum wage workers would get US$38.98 for a 40–hour working week. In August 2019 the SI to AUD exchange rate was AUD$1 to SI$5.54—so SI$8 = AUD $1.44 per hour; SI$64 (AUD$11.55/day), SI$320 ($57.55/week) and SI$1280 (AUD$231.01/month).
7 A longer survey (1 to 3 years) would reveal how seasonal weather patterns affect produce supply by region.
8 A sina plot is ‘an enhanced chart for simple and truthful representation of single observations over multiple classes,’ developed by Nikos Sidiropoulos, Sina Hadi Sohi, Nicolas Rapin and Frederik Otzen Bagger in 2017. A sina plot charts pairs of plots or dense overlays of these plot types (See https://cran.r-project.org/web/packages/sinaplot/vignettes/SinaPlot.html).
9 The change commenced on 1 August 2019 (SIBC 2019), raising the minimum wage from SI$4 per hour to SI$8. The minimum wage is offered as a comparison, although skilled employment often receive many multiples of the minimum wage. At August 2019 the SI$ (officially the ‘SBD’) to US exchange rate was US$1 to SI$8.21—minimum wage workers would get US$38.98 for a 40–hour working week. In August 2019 the SI to AUD exchange rate was AUD$1 to SI$5.54—so SI$8 = AUD $1.44 per hour; SI$64 (AUD$11.55/day), SI$320 ($57.55/week) and SI$1280 (AUD$231.01/month).
10 Honiara city council has authority over HCM and Kukum market, the latter being a betel nut market.
11 The emphasis is on women’s business skills development and gender equity, financial literacy, and partnerships with NGOs, the private sector and SIG.
12 There is also evidence that suggests many vendors do not always factor in on-costs like their time or transport costs into pricing at market. Author observation at HCM is that for most goods vendors appear to have a floor price, but this is usually also a ceiling price. How such prices are established is not entirely clear and does appear to be more to do with ease of providing change (something that complicates transactions) so bunches of vegetable are normally in multiples of SI$5, except for larger cost items such as melon (up to SI$100).









