Construction Economics and Building
Vol. 25, No. 3/4
December 2025
RESEARCH ARTICLE
Impact of Construction Project Failure on Key Project Stakeholders: Assessing the Perspectives of Professionals in Lagos Metropolis
Roy Lan1, Olumide Adenuga2, Ibukun Awolusi3,*
1 School of Civil & Environmental Engineering, and Construction Management,
The University of Texas at San Antonio, San Antonio, Texas, USA, roy.lan@my.utsa.edu
2 Department of Building, University of Lagos, Lagos, Nigeria, oadenuga@unilag.edu.ng
3 School of Civil & Environmental Engineering, and Construction Management,
The University of Texas at San Antonio, San Antonio, Texas, USA, ibukun.awolusi@utsa.edu
Corresponding author: Ibukun Awolusi, ibukun.awolusi@utsa.edu
DOI: https://doi.org/10.5130/AJCEB.v25i3/4.9124
Article History: Received 26/04/2024; Revised 01/11/2024; Accepted 30/07/2025; Published 05/12/2025
Citation: Lan, R., Adenuga, O., Awolusi, I. 2025. Impact of Construction Project Failure on Key Project Stakeholders: Assessing the Perspectives of Professionals in Lagos Metropolis. Construction Economics and Building, 25:3/4, 90–120. https://doi.org/10.5130/AJCEB.v25i3/4.9124
Abstract
Construction project failures in rapidly developing urban environments can have far-reaching consequences across multiple stakeholder groups. This study examines the broad-ranging impacts of construction project failures in Lagos, Nigeria, focusing on clients, contractors, consultants, and the general public. Employing a mixed-methods approach, the research combines questionnaire data from construction professionals with in-depth interviews and thematic analysis. Quantitative techniques, including the relative severity index (RSI) and cluster analysis, complement qualitative insights. The results reveal that financial and economic impacts, particularly loss of revenue, cost escalation, and time overruns, are the most significant consequences. Clients emerge as the most severely affected stakeholder group, followed by the general public, contractors, and consultants, underscoring the broad societal implications of project failures. Cluster analysis uncovers distinct patterns in stakeholder perceptions, revealing how professional experience influences the perceived severity of project failures. Qualitative insights from interviews provide additional depth, illustrating the psychological toll on professionals and the erosion of public trust in development initiatives. This research contributes to the field by providing a comprehensive, stakeholder-centric analysis of project failure impacts in a rapidly urbanizing context. It offers practical recommendations for policymakers, industry professionals, and urban planners, emphasizing the need for enhanced financial oversight, improved stakeholder engagement, and a shift toward a more collaborative industry culture. These insights are crucial for developing effective risk management strategies in dynamic urban environments like Lagos.
Keywords
Construction; Cluster Analysis; Developing Countries; Project Failure; Project Stakeholders
Introduction
Infrastructural development is pivotal to the growth and prosperity of developing societies, particularly through the successful delivery of construction projects. These projects are key drivers of social and economic development, enhancing urban infrastructure, generating employment, and improving the quality of life (Okagbue et al., 2018). However, when construction projects fail, the negative consequences ripple across various stakeholder groups, leading to significant financial, operational, and social disruptions (Shahhosseini et al., 2018). The failure of construction projects often results in considerable economic losses, diminished public trust, and broader societal impacts that disproportionately affect the most vulnerable stakeholders (Akims and Akims, 2022).
In Nigeria, as in many developing countries, construction project failures have become prevalent despite ongoing efforts to meet the demands of rapid urbanization and population growth (Nweze, 2016; Ibrahim and Daniel, 2019). The adverse effects of these failures are wide-ranging and extend beyond the immediate project site. For instance, clients who finance these projects could face significant financial setbacks, including loss of revenue, bankruptcy, and reputational damage (Ullah et al., 2023). Contractors and consultants, tasked with delivering projects and ensuring quality, are not immune either; they may experience operational inefficiencies, legal liabilities, and long-term damage to their professional standing. Moreover, the general public, which ultimately relies on the successful completion of these projects, also bears the brunt of the negative impacts, experiencing reduced access to infrastructure, increased safety hazards, and degraded urban environments (Falana et al., 2019). In Lagos, the economic hub of Nigeria with a gross domestic product (GDP) of $101.08 billion, these challenges are particularly acute (Lagos Bureau of Statistics, 2019). Large-scale projects such as the Lagos-Badagry Expressway, the Fourth Mainland Bridge, and the Lagos State Light Rail have experienced significant delays and setbacks, which have negatively impacted stakeholders across the board (Okereke, 2017; Olabisi et al., 2023). These failures, while causing direct financial losses for stakeholders, also lead to broader social issues, such as rising unemployment, housing shortages, and deteriorating public infrastructure (Ibironke et al., 2013; Ibrahim and Daniel, 2019). The negative ripple effects of these failures highlight the critical need to understand how they impact different stakeholder groups and the overall socio-economic fabric of the region (Ibironke et al., 2013; Lagos Bureau of Statistics, 2019).
While extensive research has explored the causes of construction project failures in Nigeria and other developing countries ranging from poor project management and financial constraints to regulatory issues and resource misallocation, far less attention has been devoted to understanding the full spectrum of effects these failures have on multiple stakeholders simultaneously. Existing studies often focus on project failure types, such as project delays, cost overruns, abandonment, or structural collapse (Damoah, Mouzughi and Kumi, 2020; Rashid, 2020; Fehan and Aigbogun, 2023; Hardardottir and Moller, 2023), providing valuable insights into the root causes, not delving deeply into the impacts these failures have on key stakeholders. In most cases, they tend to concentrate on individual aspects of failure, typically analyzing the impacts on a single stakeholder group, such as clients or contractors, in isolation. There is therefore a significant gap in existing literature when it comes to a comprehensive examination of how construction project failures affect stakeholders including clients, contractors, consultants, and the general public at the same time. Few studies offer an integrated analysis of these effects, which is crucial in contexts like Nigeria, where construction projects play a critical role in urban development and economic growth. Understanding how different stakeholders are impacted concurrently, and how these impacts intersect, is essential for developing effective mitigation strategies and improving project outcomes. This study seeks to fill that gap by providing a holistic, stakeholder-centric analysis of the multifaceted effects of construction project failures, with a particular focus on the Lagos metropolis. By examining various types of failure impacts including financial, operational, social, and more, this research provides a comprehensive view of how construction project failures uniquely affect key stakeholders. This stakeholder-focused approach allows for a deeper understanding of how different groups, such as clients, contractors, consultants, and the general public, experience and respond to the consequences of project failures, particularly in a rapidly growing urban setting like Lagos. The insights gained from this research can help inform more effective strategies to mitigate the adverse effects of construction project failures and improve future project outcomes in developing economies.
Literature review
Introduction to construction project failures
Construction project failures remain a critical issue in the built environment, particularly in rapidly urbanizing cities like Lagos, Nigeria. These failures are not limited to technical issues such as design flaws or substandard materials; rather, they often result from a complex interplay of financial mismanagement, ineffective stakeholder collaboration, and broader socio-economic challenges (Gupta et al., 2019; Arora, 2023). In developing contexts, these failures can have far-reaching consequences, significantly affecting infrastructure development, urban growth, and the well-being of multiple stakeholder groups (Rashid, 2020). As urban populations swell, the demand for infrastructure grows, putting pressure on construction projects to deliver on time and within budget. When they fail, the impacts are felt by not only clients and contractors but also consultants, government agencies, and the general public (Omopariola et al., 2020; Shoar, Chileshe and Payan, 2022). Understanding the multifaceted nature of these failures and their subsequent impact on stakeholders is essential for improving project outcomes in rapidly developing regions like Lagos.
Theoretical underpinnings
To explore the impact of construction project failures on various stakeholders, this study draws on several theoretical frameworks that explain the dynamics of stakeholder interactions, risk management, and the cascading effects of project failures. Each of these theories provides a relevant perspective for understanding how different groups are affected by project breakdowns, especially in the high-stakes construction environment of Lagos.
Stakeholder theory emphasizes the importance of managing relationships between all stakeholders involved in a project, rather than focusing solely on the shareholders (Prebanić and Vukomanović, 2023). This theory is particularly relevant to the context of this study, as construction projects in Lagos often involve a diverse array of stakeholders, including clients, contractors, consultants, government bodies, and the general public. The failure of a construction project impacts each of these groups differently. For instance, while clients may face financial losses, contractors could experience reputational damage and operational setbacks, and the general public might suffer from reduced access to infrastructure. Stakeholder theory helps frame the analysis of how these failures ripple through each stakeholder group, emphasizing the importance of understanding and managing their distinct interests and concerns (Wojewnik-Filipkowska et al., 2021). Another significant framework is the risk management theory commonly referred to as risk management. It is crucial for understanding how construction projects deal with uncertainties. Construction projects in Lagos are subject to a variety of risks, including financial volatility, regulatory changes, and environmental challenges (Esteki, Gandomani and Farsani, 2020). Risk management theory provides a systematic approach to identifying, assessing, and mitigating these risks. In the context of this study, the theory highlights the consequences of poorly managed risks, such as cost overruns and delays, which affect different stakeholders in different ways (Osei-Kyei et al., 2023). By failing to anticipate or mitigate risks, projects in Lagos often end up stalled or abandoned, leaving contractors, clients, and the public to absorb the consequences. Systems theory and organizational learning theory are also two pertinent frameworks germane to the scope of this study.
Systems theory and organizational learning theory are also pertinent frameworks aligning with the scope of this study. Systems theory views construction projects as interconnected systems where the failure of one component can trigger cascading effects on the entire project. This theory is highly relevant to construction projects in Lagos, where delays or financial mismanagement in one phase often result in larger systemic disruptions, as seen in the Lagos Light Rail Project, where funding delays escalated costs and extended timelines, impacting various stakeholders (Alade, Edelenbos and Gianoli, 2019). Organizational learning theory, on the other hand, emphasizes the importance of learning from past failures to improve future project outcomes. This theory is particularly useful in the Lagos context, where construction firms often encounter repeated failures in delivering large-scale infrastructure projects (Falana, Ghazaly and Falana, 2019; Adenuga, Osuizugbo and Imoesi, 2022). By institutionalizing lessons learned from these failures, organizations can enhance their risk management, resource allocation, and stakeholder coordination practices, leading to better project outcomes and reduced disruptions. Together, these frameworks offer a comprehensive view of how construction project failures occur and how organizations can adapt and evolve to mitigate the negative impacts on stakeholders, which is essential in the complex and unpredictable construction environment of Lagos.
Impact of construction project failure on stakeholders
Construction project failures have a ripple effect, impacting not only the immediate project outcomes but also the broader range of stakeholders involved in or affected by these projects. The consequences of such failures are multifaceted, affecting clients, contractors, consultants, and the general public in distinct yet interconnected ways.
Clients, the primary investors in construction projects, encounter a spectrum of risks when faced with project failures. Financially, the repercussions extend far beyond immediate concerns like cost overruns and project delays (Chong and Sullivan, 2020). For projects with commercial ambitions, the ripple effects of failures can lead to substantial losses in projected revenues, fundamentally jeopardizing the investment’s financial viability. Such losses not only disrupt the specific project’s budget but can also have far-reaching impacts on clients’ broader investment portfolios and long-term financial strategies. This situation is exacerbated in environments marked by economic volatility, where the opportunity costs of tied-up capital in failing projects can be particularly punitive (Olawumi and Chan, 2018). The interplay between direct project costs and broader financial repercussions underscores the intricate financial web in which clients are entangled during project failures (Gupta et al., 2019). Reputational damage constitutes another critical fallout for clients embroiled in construction project failures. In an era where market presence and brand reputation are inextricably linked to online platforms and social media, the adverse publicity surrounding failed projects can quickly tarnish a client’s image (Assaad et al., 2020). This reputational loss can significantly deter potential partners, investors, or tenants, making future endeavors more challenging to initiate or sustain. In competitive markets, where credibility and a proven track record are indispensable assets, the stakes are even higher.
The lingering shadow of a failed project can lead to a loss of confidence among stakeholders, potentially closing doors to lucrative opportunities and partnerships (Zwikael, Meredith and Smyrk, 2019). The reputational implications of project failures highlight the critical need for clients to navigate project management and stakeholder engagement adeptly. Beyond financial and reputational risks, the psychological toll on clients managing failing projects can be profound. The stress associated with overseeing projects marred by setbacks and uncertainties can lead to significant dissatisfaction and mental strain. This stress can permeate personal and professional realms, affecting decision-making abilities, leadership effectiveness, and overall well-being (Wu, Hu and Zheng, 2019). The cumulative effect of prolonged exposure to project-related stressors can manifest in decision fatigue, reduced cognitive performance, and a diminished capacity to engage constructively with project teams and stakeholders (Tijani, Jin and Osei-Kyei, 2023). Moreover, the personal reputational damage and its attendant social pressures can exacerbate the psychological impact, leading to a cycle of stress and dissatisfaction that extends well beyond the project’s life cycle (Wu, Hu and Zheng, 2019).
Contractors, integral to transforming construction plans into reality, encounter substantial challenges in the wake of project failures, with financial instability standing at the forefront (Bikitsha and Amoah, 2022). These challenges extend beyond immediate cash flow disruptions to encompass unpaid bills, penalties for project delays, and costly litigation processes. Such financial hurdles not only jeopardize the short-term liquidity of contractors but can also threaten their long-term viability, especially when a failed project is significant relative to the contractor’s financial capacity (Assaf et al., 2019). The domino effect of these financial strains can ripple through to subcontractors and suppliers, magnifying the economic repercussions within the construction sector. Moreover, the operational disruptions ensuing from project failures are manifested as resource allocation inefficiencies, compounded delays across the contractor’s project portfolio, and diverted managerial focus, further exacerbating the situation (Arora, 2023). These disruptions erode the contractor’s ability to fulfill other commitments, undermining their competitiveness and capacity for securing future projects. Additionally, the internal turmoil, characterized by declining employee morale and productivity, amplifies these operational challenges, necessitating a resilient and adaptable project management approach to mitigate such adverse effects.
Consultants in the construction industry, including architects, engineers, and project managers, navigate a complex landscape of responsibilities and expectations. When construction projects fail, consultants often find themselves in the crosshairs of blame and recrimination, impacting their professional reputation, financial stability, and future business prospects (Olawale et al., 2022). The reputational damage for consultants stemming from project failures cannot be overstated. In an industry heavily reliant on trust and proven expertise, being associated with a failed project can severely undermine a consultant’s credibility. This loss of reputation can lead to difficulties in securing future contracts, as potential clients might perceive them as a riskier choice (Nissen and Dittler, 2019; Deb, Mitchell and Pai, 2022). Moreover, the interconnected nature of the construction industry means that news of project failures and the roles individuals played in them spreads quickly, further exacerbating the challenge of rebuilding a tarnished reputation (Anthony, 2013). Beyond reputation, consultants face financial risks from project failures. Unpaid fees for services rendered can strain their financial resources, especially for smaller consultancy firms or independent consultants whose cash flows may be less robust. Legal disputes over project outcomes can also result in significant legal expenses, further jeopardizing their financial position (Deb, Mitchell and Pai, 2022).
The general public, often the end beneficiaries of construction projects, faces a wide array of impacts when these endeavors fail. These effects can range from direct to indirect, affecting communities and the broader societal fabric in profound ways (Damoah and Akwei, 2017). Firstly, the immediate impact of construction project failures on public safety and health cannot be understated. Incomplete structures, poorly constructed facilities, or abandoned sites pose significant safety hazards. Such scenarios not only endanger lives but also contribute to a decline in the quality of urban life, affecting the well-being of the community at large (Azil and Jabar, 2021; Kaja and Goyal, 2023). Moreover, the aesthetic blight of unfinished or failed projects can degrade the visual landscape of neighborhoods, impacting property values and community pride (Ahmed Ezzat Othman, 2014; Yang and Cheng, 2020). Beyond physical and environmental concerns, the failure of construction projects often results in missed opportunities for community development and economic growth. Infrastructure projects like roads, schools, and hospitals are critical for societal advancement. When these projects fail, the intended benefits, such as improved access to education, healthcare, and transportation, are delayed or lost, disproportionately affecting vulnerable populations and widening social inequalities (Yang and Cheng, 2020). Furthermore, the economic implications of construction project failures extend beyond the immediate area of the project. They can deter future investment in the region, affecting job creation and economic stability. The negative perception generated by visible project failures can be a significant obstacle to attracting new businesses and investors, hindering regional economic development (Pant et al., 2018). The erosion of public trust in the construction industry and government oversight is another critical consequence of project failures (Damoah, Mouzughi and Kumi, 2020; Deb, Mitchell and Pai, 2022). When projects funded by public money are mismanaged or fail, it can lead to a perception of incompetence or corruption, diminishing faith in public institutions and the construction sector. This loss of trust can have long-lasting implications, making it more challenging to garner public support for future projects, including those funded through public–private partnerships or community levies (Bhagat and Jha, 2023). Table 2 shows a summary of literature on the effect of project failure.
Construction project failures in Lagos
Lagos, with its rapid urbanization and growing population, provides a unique case study for examining the impacts of construction project failures. Several high-profile projects in the city have faced significant setbacks, highlighting the challenges of delivering infrastructure in a dynamic urban environment.
The Lagos Light Rail Project, first conceptualized in 1983, proposed to consist of seven major routes including the Blue Line, Red Line, Green Line, Purple Line, Yellow Line, Brown Line, and Orange Line, was intended to alleviate the city’s chronic traffic congestion by providing a reliable public transit system. However, the project has been plagued by delays and cost overruns, with only two lines partially operational as of 2024 (Bolaji, 2023). These setbacks have had a profound impact on the city’s commuters, who continue to face long travel times and high transportation costs due to the lack of reliable public transport options.
The Fourth Mainland Bridge, first proposed in the early 2000s, was intended to alleviate the heavy traffic congestion on the Third Mainland Bridge, which serves as the main route between Lagos Island and the mainland. With over 117,000 vehicles using it daily, the Third Mainland Bridge frequently experiences severe traffic jams, causing delays that impact commuters, businesses, and the overall flow of goods and services. Commuters, including the general public and daily workers, face extended travel times, increased fuel costs, and lost productivity, while businesses experience disruptions in logistics and economic activity. The delayed construction of the Fourth Mainland Bridge, caused by financing difficulties, environmental concerns, and land compensation disputes, has significantly affected multiple stakeholders (Akoni, 2022). Government agencies responsible for urban development face a loss of public trust and setbacks in economic growth initiatives, while contractors and consultants involved in the project have suffered reputational damage and financial losses. Meanwhile, the general public continues to endure the adverse effects of traffic congestion, reduced quality of life, and economic consequences, illustrating the far-reaching impacts of the stalled project on all stakeholders dependent on efficient infrastructure. Also, notably, the Lekki-Epe Expressway project, while eventually completed, faced numerous challenges during its construction phase, including disputes over toll charges and public–private partnership agreements. These issues delayed the project’s completion and increased its overall cost, impacting both the government and private stakeholders (Osei-Kyei et al., 2023). The operational challenges that plagued this project underscore the complexities of delivering infrastructure in the rapidly growing urban environment in Lagos.
Key constructs for measuring project failure impacts
To effectively analyze the impacts of construction project failures on stakeholders, it is crucial to identify and define the key constructs that can be measured and assessed. Table 1 outlines these constructs, along with their measurement indicators, the affected stakeholder groups, and the corresponding project phases. This provides a comprehensive framework for understanding the multidimensional effects of project failures.
| Construct | Definition | Key measurement indicators | Stakeholders affected | Project phases affected | Key citation |
|---|---|---|---|---|---|
| Financial and economic impact | The monetary and economic consequences of project failure | Loss of revenue, bankruptcy, cost escalation | Clients, contractor | All phases | (Johnson and Babu, 2020) |
| Project execution and performance impact | The effect of failure on the project’s operational aspects and outcomes | Delays, rework, loss of worker hours, low productivity | Contractors, consultants | Construction, post-construction | (El-Sayegh et al., 2021) |
| Stakeholder welfare and societal impact | The broader effects on stakeholders and society at large | Unemployment, stress, public dissatisfaction | General public, clients | Post-construction | (Hamdan, Andersen and de Boer, 2021) |
| Legal, regulatory, and compliance impact | The legal and regulatory consequences resulting from project failure | License revocation, reputational damage, legal penalties | Contractors, consultants | Post-construction | (Casady and Baxter, 2020) |
| Safety, health, environment, and quality impact | The effects on human safety, health, and environmental conditions | Accident rates, health risks, environmental damage, rework | Contractors, workers, general public | Construction, post-construction | (Boadu, Wang and Sunindijo, 2020) |
| Author and year | Year | Country of focus | Focus of study | Key findings | Stakeholders analyzed | Methodology |
|---|---|---|---|---|---|---|
| (Damoah, Mouzughi and Kumi, 2020) | 2020 | Ghana | Abandonment | Identified economic, social, political, and psychological effects as key effects of construction project failure | Government officials | Quantitative survey |
| (Rashid, 2020) | 2020 | Pakistan | Project delay | Identified cost overrun as the most significant effect of project failure | Contractor, client | Quantitative survey |
| (Rahman et al., 2022) | 2022 | UAE | Quality issues | The study highlighted quality assurance has the most effect on project failure | Client, contractor | Quantitative analysis |
| (Ahmed, 2019) | 2019 | Bangladesh | Safety awareness | Highlighted loss of human lives affecting workers and consultants as the key impact of project failure. | Client, consultant | Qualitative interviews and survey |
| (Suleiman et al., 2023) | 2023 | Jordan | Communication | Highlighted cost overrun and frequent reworks leading to financial losses primarily borne by clients and contractors | Contractor, consultant | Quantitative survey |
| (Ullah, Islam Showrav and Masrur Eram, 2023) | 2023 | Bangladesh | Project failure | Discussed financial impact on the contractors and clients as the most significant effect of project failure | Contractor, client | Systematic literature review |
| (Shoar, Chileshe and Payan, 2022) | 2022 | Iran | Cost and time overruns | Identified reputation loss of consultants as the key impact of project failure | Contractor, client, consultants | Qualitative interviews and survey |
Research methodology
The study involved a comprehensive approach, starting with a detailed literature review and interviews with construction industry professionals in Lagos State, Nigeria. The aim was to understand the negative effects of construction project failures. Information from these sources was organized using thematic analysis, which led to the development of a questionnaire. This questionnaire was distributed to a select group of contractors, project managers, and consultants identified through purposive sampling. To assess the severity of different effects as perceived by these professionals, the relative severity index (RSI) and mean scores were employed to analyze their responses. The entire research methodology is depicted in Figure 1.

Figure 1. Research methodology
Literature search
To date, much work has not been done on the effects of construction project failure, and consequently, to get an ample number of papers for the review, we set the look-back year threshold to 13 years. Exploring sites and robust databases like Google Scholar, Scopus, ScienceDirect, and Web of Science, some keywords used include “construction project failure”, “effects”, “delays in construction”, and “abandonment in construction”.
Scope of the study
This study focuses on a broad range of public and private construction projects in Lagos, Nigeria. The selected projects include infrastructure developments such as bridges, roads, and public buildings, as well as commercial projects such as residential estates and office complexes. This scope ensures that the analysis captures the diverse nature of construction activities within Lagos and reflects both government-sponsored and privately financed projects. By examining a variety of project types, the study offers a comprehensive understanding of the common challenges and unique risks faced across different segments of the construction industry.
Expert interviews
The study involved semi-structured interviews with experienced professionals in the construction industry, specifically targeting those with a minimum of 5 years of experience. A total of 15 professionals participated, the participants were selected based on their extensive experience (ranging from 5 to 25 years) and their involvement in high-risk or failed construction projects, ensuring that the qualitative data reflected diverse stakeholder perspectives. To further enhance the depth of the insights, interviews were conducted across three active construction sites where major projects were underway. The interview process was designed to capture both subjective experiences and objective observations regarding the effects of project failures. A combination of open-ended and structured questions was employed, allowing participants to share detailed insights while also ensuring consistency in responses for analysis. The interviewees predominantly highlighted financial and economic consequences, such as client revenue loss, cost escalations, and negative impacts on economic growth. Interestingly, the interviews also brought to light some unanticipated effects, including psychological and emotional distress and depression, aspects not previously covered in the reviewed literature.
Grouping method
After the completion of the literature review and interview series, the acquired data were systematically organized and analyzed through thematic analysis. This qualitative methodology involves the identification, examination, and reporting of emergent themes or patterns within the data. The process encompassed several key steps: initial data familiarization, generation of codes, and the derivation and assignment of themes, paralleling the methodologies employed in previous studies (Bowen et al., 2012; Perannagari and Chakrabarti, 2020). The 25 discerned effects of construction project failure were categorized into five distinct groups: Project Execution and Performance Impact; Financial and Economic Impact; Legal, Regulatory, and Compliance Impact; Safety, Health, and Environmental Quality Impact; and Stakeholder Welfare and Societal Impact, as detailed in Table 4.
Questionnaire formation and dissemination
The questionnaire was meticulously structured to facilitate respondent accessibility, incorporating succinct, Likert scale-oriented queries to evaluate perceptions regarding the effects of construction project failures precisely. The scale employed in the questionnaire featured an ordinal range from 1 (“None”) to 5 (“Severe”), a design choice instrumental in quantitatively gauging the perceived severity of project failure impacts. In alignment with methodological rigor, purposive sampling was utilized, a strategic, non-probabilistic selection method as explicated by Campbell et al. (2020). This approach specifically targeted professionals within the construction sector who had copious amounts of site experience.
For data collection, an electronic survey was meticulously crafted using Google Forms, ensuring ease of access and completion. This digital tool was disseminated through the extensive networks of the Nigerian Society of Engineers (NSE) and the Council for the Regulation of Engineering in Nigeria (COREN), aiming to reach a wide spectrum of professionals in relevant fields. In parallel, to ensure comprehensive coverage and inclusion of diverse professional insights, printed versions of the questionnaire were strategically distributed to engineering firms. These physical copies were specifically directed toward individuals holding key positions such as project managers, contractors, and consultants, thereby ensuring the capture of informed perspectives on the subject matter.
Out of the 200 questionnaires distributed, a total of 105 were retrieved. However, upon meticulous examination of these responses, it was noted that a fraction contained various errors, such as omissions or transposition mistakes, rendering them incomplete. Consequently, these flawed responses were deemed unusable for the subsequent analytical process, effectively reducing the pool of valid responses to a total of 78. This attrition in usable data underscores the challenges inherent in survey-based research and highlights the importance of meticulous response validation in ensuring the integrity and reliability of research findings.
Cronbach reliability test
To ascertain the reliability and consistency of the data procured from the questionnaire, Cronbach’s alpha coefficient (α) was utilized. This statistical tool was applied to assess the consistency of the identified effects of project failure. The Cronbach’s alpha (α) value derived from this analysis was 0.923, indicating a high level of internal consistency. According to Taber (2018), a dataset exhibiting an alpha (α) value greater than 0.7 is deemed sufficiently consistent for utilization in research studies.
(1)
where K is the number of items (in this case, the number of factors),
is the variance of the total score, and
is the sum of the variances of the individual item scores.
Relative severity index
The objective of this study was to identify the effects of project failure and to assess their impact on select stakeholders. To achieve this, the selected technique was the RSI. This technique is reliable and has been used numerous times, especially in studies assessing the perception of the respondents (Kamal et al., 2022; Manoharan et al., 2023). The RSI formula is given as
(2)
In the context of this study, the variable “W” is designated to represent the weight attributed to each factor, aligned with a predefined scale that ranges from 1, symbolizing “None”, to 5, indicating “Severe”. This gradational scale is conceptualized to mirror the relative importance of each effect, with 1 denoting “least important” and 5 signifying “significantly important”. The notation “A” is employed to denote the highest possible weight within this scale, which, according to the Likert scale utilized in this research, is 5. Furthermore, “N” refers to the number of respondents who participated in the survey, each contributing to the dataset through their responses corresponding to the weighted factors. This technique allows for a quantifiable assessment of the perceived importance and impact of the effects being studied, as expressed by the collective input of the respondents.
Correlation analysis between groups
A non-parametric analytical approach, specifically Spearman’s rank correlation coefficient, was chosen to validate the existence of a correlation between professional perceptions of construction project failures in Lagos State. This choice was made because Spearman’s coefficient is well-suited to the dataset’s characteristics, and it is robust against the influence of outliers. This method enhances the validity and reliability of the correlation analysis, especially when dealing with datasets where outliers could distort the results. Ultimately, it provides a more accurate understanding of the relationships among ranked variables in professional perceptions.
(3)
In the formula, rs is the Spearman’s coefficient of rank correlation. The variable “d” stands for the difference between the ranks of each pair of corresponding variables under consideration. Lastly, N indicates the total count of paired observations in the dataset. This formula thus quantitatively encapsulates the degree of correlation between two variables based on their ranks, considering all paired observations in the analysis.
Cluster analysis
To further explore patterns in the respondents’ perceptions of construction project failure effects, a cluster analysis was conducted. This method enabled identifying distinct groups of respondents with similar perspectives, providing additional insights beyond the overall rankings. First, principal component analysis (PCA) was applied to reduce the dimensionality of the dataset while retaining the most significant information. This step was useful in visualizing the respondents in a two-dimensional space based on their response patterns. The formula for PCA can be represented as:
Z = XV(4)
where Z is the matrix of principal component scores, X is the standardized data matrix, and V is the matrix of eigenvectors of the correlation matrix of X. Specifically, K-means clustering was employed to group respondents into distinct clusters. In the K-means clustering process, the optimal number of clusters was determined using the elbow method, which evaluates the sum of squared errors (SSE) for various values of K. The SSE measures the compactness of the clusters, with lower values indicating that data points are closer to their assigned centroids. SSE is calculated as the sum of squared Euclidean distances between each data point and its corresponding cluster centroid.
For each K, the K-means algorithm assigns data points to clusters and computes the SSE. The resulting SSE values are plotted against the number of clusters K. The elbow point on this plot represents the optimal K, where increasing the number of clusters beyond this point does not significantly reduce the SSE. As shown in Figure 2, the elbow point occurs at K = 3, indicating that three clusters provide an optimal balance between model simplicity and data separation. The SSE for each cluster configuration is computed using the following formula:
(5)

Figure 2. Elbow method for determining the optimal number of clusters (K)
where xi represents the data points, Ck is the centroid of the kth cluster, and
is the squared Euclidean distance between a point and the centroid. The optimal number of clusters is determined by identifying the elbow point on the SSE versus K plot. This cluster analysis complements the overall rankings by revealing subgroups within the sample that have distinct viewpoints or experiences with construction project failures. It provides a more nuanced understanding of how construction professionals perceive the impacts of project failure, which can inform more targeted approaches to risk management and mitigation strategies in the industry.
Results
Profile of respondents
Table 3 presents a comprehensive demographic breakdown of the 78 respondents, categorized by job titles, education, industry tenure, and organization types. This detailed demographic information is pivotal for a nuanced understanding of the survey participants and enriches the context of the study. A key observation is the dominance of general contractors, who form over half of the respondents, aligning with the study’s focus on professionals with direct construction site experience. This demographic choice is strategic, ensuring data collection is grounded in practical, real-world construction scenarios. The respondents’ experience in the construction industry varies widely, ranging from a minimum of 5 years to over 15 years. This diversity in experience is valuable as it covers a wide array of perspectives, informed by various stages of technological and methodological shifts in the construction sector.
Educationally, the respondents demonstrate significant academic achievements, with over 50% holding master’s degrees, and about 4% having doctorate degrees. The remaining participants possess bachelor’s degrees. This educational diversity contributes to a rich array of perspectives and a comprehensive understanding of the construction field.
Ranking the effects of construction project failure
Table 4 presents the top effects of construction project failures based on RSI values. Loss of revenue ranks highest with an RSI of 0.903, followed by cost escalation (RSI = 0.897) and time overruns (RSI = 0.892), indicating that financial and operational impacts are the most critical concerns for stakeholders. Substandard infrastructure (RSI = 0.869) and unemployment (RSI = 0.890) also rank highly, particularly affecting the general public and project managers. Reputation damage (RSI = 0.867) is another significant concern, especially for contractors. These rankings highlight the key impacts perceived by professionals in the construction industry.
To thoroughly contextualize the effects identified, the study grouped the impacts of construction project failures into five key constructs based on RSI values: Financial and Economic Impact (RSI = 0.857), Project Execution and Performance Impact (RSI = 0.823), Stakeholder Welfare and Societal Impact (RSI = 0.821), Safety, Health, and Environmental Quality (SHEQ) Impact (RSI = 0.797), and Legal, Regulatory, and Compliance Impact (RSI = 0.771); this is seen in Table 5. The Financial and Economic Impact emerged as the most significant consequence, particularly driven by the high ranking of loss of revenue and cost escalation. There was a notable consensus among the different respondents, including contractors, consultants, and project managers, regarding these impact rankings as seen in Table 6.
| Contractor | Project manager | Consultant | |
|---|---|---|---|
| Contractor | 1.000 | 0.670 | 0.529 |
| Project manager | 0.670 | 1.000 | 0.675 |
| Consultant | 0.529 | 0.675 | 1.000 |
Relative severity index analysis and construct grouping
The results presented in Figure 3(a) depict the RSI and the associated confidence interval ranges for five key constructs: Project Execution and Performance (PEP), Financial and Economic Impact (FEI), Legal, Regulatory, and Compliance (LRC), Safety, Health, and Environmental Quality (SHEQ), and Stakeholder Welfare and Societal Impact (SWS). The RSI for FEI (0.857) is the highest, indicating that financial and economic factors are perceived to have the most significant impact on construction project failure. PEP and SWS follow closely, reflecting concerns about project performance and societal welfare. The lower RSI values for LRC (0.770) and SHEQ (0.797) suggest relatively lower perceived impacts in terms of compliance and safety, though these remain important considerations.

Figure 3. (a) RSI and confidence interval range by construct. (b) Heatmap of relative severity index by construct
Figure 3(b) reinforces this ranking with a heatmap, where color intensity illustrates the severity of each construct’s impact. FEI and PEP exhibit the highest intensity, emphasizing their critical importance, while LRC demonstrates the lowest RSI value. This consistent pattern across both visualizations highlights the predominance of financial and project execution concerns among construction professionals, providing a clear framework for prioritizing mitigation strategies based on stakeholder perceptions.
Correlation between years of experience and construct scores
Understanding how professional experience influences perceptions of construction project failure effects is crucial for interpreting variations in stakeholder opinions. More experienced professionals may have encountered a broader range of challenges in construction projects, influencing their prioritization of certain impacts. By examining the correlation between years of experience and construct scores, this study seeks to determine whether more seasoned professionals view the severity of these effects differently from those with less experience, thus providing deeper insights into the stakeholders’ assessments.
Figure 4 presents the relationship between respondents’ years of experience in the construction industry and their scores on five key constructs: PEP, FEI, LRC, SHEQ, and SWS. The scatter plots for each construct, accompanied by trend lines, indicate weak to moderate correlations between years of experience and scores. For PEP (correlation: 0.05), there is a weak positive relationship, while FEI (correlation: −0.11) shows a slight negative correlation, suggesting that as experience increases, perceptions of financial impacts become less severe. The LRC construct (correlation: 0.19) demonstrates a more noticeable positive trend, indicating that more experienced professionals rate legal, regulatory, and compliance impacts higher, reflecting their likely greater exposure to these issues over the course of their careers. Conversely, SHEQ (Safety, Health, and Environmental Quality) and SWS (Stakeholder Welfare and Societal Impact) show negative correlations (−0.16 and −0.13, respectively), suggesting that professionals with more experience tend to perceive these impacts as less severe. Overall, the correlation values suggest that experience does not significantly influence the perceived severity of most effects, except for a mild positive correlation in LRC scores. This finding suggests that, while professional experience shapes perceptions, it does so modestly, particularly in relation to legal and regulatory issues.

Figure 4. Relationship between years of experience and construct scores with correlation coefficients
Correlation of construct scores and distribution by stakeholder type
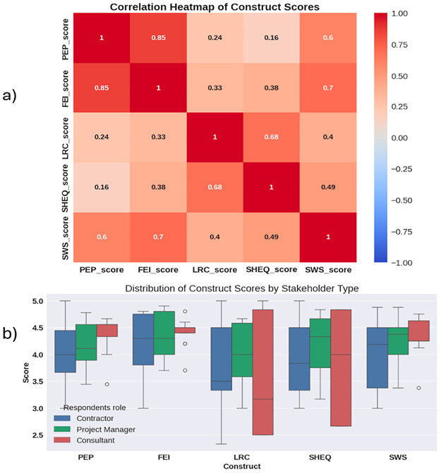
The analysis presented in Figure 5(a) highlights the Correlation Heatmap of Construct Scores, which illustrates the relationships between key constructs of project failure impacts: PEP, FEI, LRC, SHEQ, and SWS. The highest positive correlation (0.85) exists between PEP (Project Execution and Performance) and FEI (Financial and Economic Impact), indicating that professionals view these aspects as closely related. The strong correlations between SHEQ and LRC (0.68) emphasize the importance of regulatory and safety concerns in project failure scenarios. This heatmap is crucial as it helps identify interdependencies between different impacts, offering insights for better risk management strategies. Figure 5(b), on the other hand, provides the distribution of construct scores by stakeholder type through box plots, comparing the perceptions of contractors, project managers, and consultants. Contractors rated LRC and SHEQ higher, reflecting their concerns about compliance and safety. In contrast, consultants gave lower scores for FEI and LRC, suggesting that financial and regulatory impacts may be less critical in their view. This analysis is essential to understand how various stakeholders prioritize different project failure impacts, allowing for tailored mitigation efforts based on professional roles.

Figure 5. Correlation and distribution of construct scores by stakeholder type. (a) The correlation heatmap of construct scores. (b) The distribution scores by respondents
Impact of project failure on key stakeholders
To better understand the effects of project failure on different stakeholder groups, an analysis was conducted based on responses from a survey questionnaire. The heatmap in Figure 6 presents the impact of project failure on stakeholders across four groups: contractors, clients, general public, and consultants. The impact scores, indicated by color intensity, show that clients are most severely affected, particularly by issues like cost escalation (4.49), time overrun (4.46), and loss of revenue (4.51). Similarly, contractors face significant impacts such as reputation damage (4.33) and loss of revenue (4.45). The general public is also heavily impacted, with substandard infrastructure (4.17) and unemployment (4.45) being critical issues. Consultants report lower overall impact scores but still cite challenges like reputation damage (4.29) and loss of work hours (4.03).

Figure 6. Heatmap of project failure impacts on stakeholders
Cluster analysis of respondents’ perspectives
To gain deeper insights into the varying perspectives on construction project failure effects, a cluster analysis was performed. This analysis revealed distinct groups of respondents with differing views on the severity and nature of these effects. Figure 7 presents the results of this analysis, combining a scatter plot of respondents based on principal components and a heatmap of mean effect scores for each cluster.

Figure 7. Cluster analysis results. (a) Scatter plot of respondents based on principal components. (b) Heatmap of mean scores for each effect across clusters
The cluster analysis revealed three distinct groups of respondents with varying perspectives on the effects of construction project failure, as illustrated in Figure 7. The scatter plot (Figure 7a) shows the distribution of respondents along two principal components, with each point representing an individual respondent. The three clusters are visually distinguishable: a large purple cluster spread across the center and right side of the plot, a teal cluster primarily on the left side, and a small yellow cluster with points scattered across the plot. The heatmap (Figure 7b) displays the mean scores for selected key effects across the three clusters, using color intensity to indicate score magnitude. The optimal number of clusters was confirmed using the elbow method, as shown in Figure 2, which demonstrates that three clusters provide the best balance between minimizing within-cluster variance and model complexity.
The three identified clusters represent distinct perceptions among construction professionals, with Cluster 2 standing out due to its consistently high impact scores. Members of this cluster assign maximum severity (scores of 5.0) to multiple effects, including cost escalation, time overrun, and operational losses, suggesting that they may have either faced more severe project failures or work in high-stakes projects where the consequences of failure are particularly pronounced. This underscores how exposure to high-risk projects or challenging environments can intensify professionals’ sensitivity to failure impacts.
By contrast, Cluster 0 and Cluster 1 display more moderate severity scores, indicating either less exposure to severe project risks or a more balanced perspective on the consequences of failure. The differences among clusters highlight that risk perceptions are not homogeneous across stakeholder roles, as they exhibit varying priorities when evaluating project failure impacts. These insights underscore the need for differentiated risk management strategies that reflect the varying priorities of each group.
The application of cluster analysis introduces an innovative approach to construction risk management by demonstrating that stakeholders do not uniformly perceive or experience risks. This segmentation is critical for targeted mitigation strategies, allowing industry practitioners and policymakers to design tailored interventions that address the specific vulnerabilities of each group. Furthermore, the clustering results reveal potential misalignments between stakeholders, such as contractors focusing heavily on operational risks while the general public emphasizes societal issues like unemployment. This misalignment suggests that achieving effective collaboration in project delivery will require addressing these perceptual gaps through better stakeholder engagement and alignment strategies.
In sum, the cluster analysis provides actionable insights that extend beyond traditional severity indices by illuminating the diversity of perceptions across stakeholders. This approach, while offering some theoretical novelty, contributes to stakeholder segmentation literature and is also practically relevant by informing the development of customized mitigation strategies for high-risk construction environments like Lagos.
Discussion of results
This study provides a multifaceted analysis of the impacts of construction project failures in Lagos, Nigeria, offering insights into how these failures affect various stakeholders and the broader construction industry. The findings reveal complex patterns in the severity and nature of these impacts, which we will discuss in detail, integrating quantitative results with qualitative insights from interviews.
Ranking and severity of project failure effects
The study’s findings, based on the RSI, provide a comprehensive understanding of the impacts of construction project failures in Lagos, Nigeria. The results reveal a clear hierarchy of effects, with financial and economic impacts emerging as the most critical consequences. Loss of revenue stands out as the most significant effect (RSI = 0.903), underscoring the immediate and tangible financial repercussions of project failures. This aligns with research by Johnson and Babu (2020) who emphasized the centrality of financial viability in construction project success. The high RSI for loss of revenue across all stakeholder groups—clients (RSI = 0.969), contractors (RSI = 0.890), and consultants (RSI = 0.938)—highlights the pervasive nature of this impact, affecting the entire project ecosystem.
Cost escalation (RSI = 0.897) and time overruns (RSI = 0.892) follow closely in severity, forming a triad of interconnected financial and operational impacts. This finding resonates with the work of Asiedu and Adaku (2020) who identified cost and time overruns as primary indicators of project distress in developing economies. The high ranking of these effects across different stakeholder groups suggests a shared vulnerability to project delays and budget overruns in the Lagos construction sector. Interestingly, the study reveals that impacts extend beyond immediate financial concerns to broader societal issues. The high ranking of substandard infrastructure (RSI = 0.869) and unemployment (RSI = 0.890) points to the far-reaching consequences of project failures on urban development and socio-economic stability. This finding aligns with research by Kasim (2018), who emphasized the ripple effects of construction failures on community well-being and economic growth in rapidly urbanizing areas.
This study also sheds light on the relative importance of different impact categories. While financial and economic impacts dominate the top rankings, safety and environmental impacts show mixed results. For instance, “accidents and deaths” ranks relatively lower (RSI = 0.772 for contractors), which might indicate a need for greater emphasis on safety culture in the Lagos construction industry. This finding contrasts with studies such as Boadu, Wang and Sunindijo (2020) and Sanni-Anibire et al. (2020), where safety impacts often rank higher in severity. Legal and regulatory impacts, such as loss of license to practice (RSI = 0.703) and jail terms (RSI = 0.692), rank lower in severity compared to financial and operational impacts. This could suggest either a less stringent regulatory environment or a prioritization of immediate project outcomes over long-term legal consequences. This finding diverges from research by Park (2021) in more regulated construction markets, where legal impacts often rank higher in severity. The relative ranking of these impacts provides valuable insights for risk management strategies in urban construction contexts similar to Lagos. It suggests that while financial risk mitigation should remain a priority, a holistic approach that also addresses societal impacts and safety concerns is crucial for sustainable urban development.
Stakeholder-specific impacts
The analysis of this study reveals nuanced differences in how various stakeholders experience and perceive the impacts of construction project failures in Lagos. These findings both corroborate and challenge existing literature, providing a contextualized understanding of stakeholder dynamics in urban construction projects in developing economies.
Clients emerge as the most severely affected stakeholder group (overall RSI = 0.856), particularly in terms of financial impacts. The extremely high RSI for loss of revenue (0.969) and cost escalation (0.938) for clients aligns with research by Ullah et al. (2023), who identified financial losses as the primary concern for project owners in developing countries. However, our findings reveal a more severe impact than previously documented, suggesting that clients in Lagos may be particularly vulnerable to financial risks. Interestingly, clients also show high concern for substandard infrastructure (RSI = 0.985), which is a departure from some existing literature. For instance, Mohd Fateh and Yee (2021) found that clients in Malaysia were less concerned about quality issues compared to financial losses. This discrepancy might reflect the unique challenges in the rapidly developing urban environment in Lagos, where infrastructure quality has immediate and long-term implications for project value and urban functionality.
Contractors, while slightly less impacted overall (RSI = 0.797), face significant challenges in terms of reputation damage (RSI = 0.867) and loss of revenue (RSI = 0.890). This aligns closely with the findings by Bikitsha and Amoah (2022), who identified reputational risk as a key concern for contractors in South Africa. However, this study reveals a higher emphasis on financial impacts among Lagos contractors, possibly reflecting the more volatile economic environment.
The general public emerges as the second most impacted group (RSI = 0.847), particularly affected by unemployment (RSI = 0.985) and substandard infrastructure (RSI = 0.846). This finding significantly expands on previous research, such as Yang and Cheng (2020), which often underestimated the extent of public impact. The high RSI for unemployment among the public suggests that construction project failures in Lagos have more direct and severe socio-economic consequences than previously recognized in the literature.
Consultants, while less impacted overall (RSI = 0.783), show high concern for reputation damage (RSI = 0.815) and loss of work hours (RSI = 0.908). This partially aligns with research by Yap et al. (2021) on the importance of reputation in consulting services. However, findings from this study suggest that operational impacts (loss of work hours) are more significant for consultants in Lagos than previously documented in other contexts.
An interesting finding is the relatively lower impact of safety issues across all stakeholder groups, with “accidents and deaths” ranking lower in RSI compared to financial and operational impacts. This contrasts with studies in more developed markets, such as Boadu et al. (2020), where safety often ranks as a top concern. This discrepancy might indicate a need for greater safety awareness and regulation in the Lagos construction industry. These stakeholder-specific findings provide a distinct understanding of how project failures reverberate through the construction ecosystem in Lagos, affecting different groups in unique ways. The results both confirm some existing theories on stakeholder impacts and challenge others, highlighting the importance of context-specific research in understanding construction project dynamics in developing urban environments.
Links between effects on selected stakeholders
Findings from this study reveal several interconnected links between the effects of project failures on different stakeholders. For instance, the high RSI for loss of revenue among contractors (0.890) is closely tied to the impact of cost escalation on clients (0.897). This suggests a reciprocal relationship where financial strain on one stakeholder group can exacerbate challenges for another. Similarly, the impact of substandard infrastructure on the general public (RSI = 0.846) is linked to the reputational damage faced by contractors (RSI = 0.867) and consultants (RSI = 0.815). This interconnection highlights how quality issues in project execution can have far-reaching consequences across multiple stakeholder groups. The relatively high RSI for unemployment among the general public (0.985) can be seen as a direct consequence of the financial impacts on contractors and clients, illustrating how project failures can create a ripple effect through the broader economy.
These interconnections underscore the need for a systems thinking approach in construction project management, where the impacts on one stakeholder group are considered in relation to potential effects on others. This holistic perspective can inform more comprehensive risk mitigation strategies and foster greater collaboration among stakeholders to prevent and address project failures.
Integration of interview findings
The qualitative insights from interviews with construction professionals in Lagos not only corroborated our quantitative findings but also provided a rich contextual understanding of the impacts of project failures. These interviews offered valuable perspectives that add depth to our statistical analysis and illuminate the lived experiences of stakeholders in the Lagos construction industry.
Financial impacts and ripple effects: Quantitative data from this study highlighted the primacy of financial impacts, with loss of revenue (RSI = 0.903) and cost escalation (RSI = 0.897) ranking highest. This was strongly echoed in the interviews. A senior project manager with over 20 years of experience stated (Interviewee 1):
“When a project fails financially in Lagos, it’s like dropping a stone in a pond. The ripples affect everyone, from the laborer who doesn’t get paid to the supplier who can’t fulfill other orders. I’ve seen small businesses collapse because of one failed project.”
This perspective, while reinforcing this study’s high RSI values for financial impacts, also illustrates the interconnected nature of the construction economy in Lagos, an aspect not fully captured by quantitative measures alone.
Societal impacts and urban development: The high RSI for unemployment (0.890) and substandard infrastructure (0.869) among the general public was given more context through conducted interviews. An urban planner involved in several Lagos projects observed (Interviewee 2):
“Failed projects don’t just leave an eyesore; they erode public trust. I’ve seen neighborhoods lose hope after a promised school or hospital project fails. It’s not just about the jobs lost, but about dreams deferred. People start to question if any development will ever succeed.”
This insight provides a human dimension to our quantitative findings, illustrating how project failures can have long-lasting impacts on community morale and urban development trajectories.
Psychological toll and professional impact: While quantitative data showed a relatively high RSI for “lack of comfort leading to dissatisfaction” (0.879), the interviews revealed the depth of this impact. A mid-career consultant shared (Interviewee 3):
“The stress of a failing project is immense. I’ve seen colleagues develop anxiety disorders, unable to sleep at night. It’s not just about the current project; it affects how you approach future work. Some of the best talents I know have left the industry entirely after being part of a major failure.”
This account adds crucial context to our understanding of the professional and personal toll of project failures, highlighting impacts that are often underrepresented in quantitative analyses.
Regulatory environment and safety concerns: Quantitative findings showed relatively lower RSI values for legal and safety impacts, which was a point of concern for some interviewees. A safety officer with experience in both public and private sectors noted (Interviewee 4):
“The numbers might show that safety isn’t a top concern, but that’s part of the problem. We’ve normalized risks. I’ve been on sites where near misses are shrugged off. It’s only a matter of time before we see more serious incidents if this attitude doesn’t change.”
This perspective suggests that the lower RSI for safety impacts might reflect a cultural issue in the industry rather than a true lower importance, providing a critical counterpoint to our quantitative findings.
Stakeholder dynamics and blame culture: The interviews also shed light on the complex dynamics between stakeholders, adding nuance to our stakeholder-specific RSI values. A contractor with experience in both small and large-scale projects observed (Respondent 5):
“When a project fails in Lagos, it often becomes a blame game. Clients point fingers at contractors, contractors blame consultants, and everyone blames the government. This culture of blame makes it hard to learn from failures and improve. We need a shift toward collective responsibility.”
This insight highlights the need for improved stakeholder collaboration and communication, an aspect that was not directly measured in our quantitative analysis but is crucial for addressing the impacts of project failures.
These qualitative insights from interviews provided valuable context and depth to the statistical findings, underscoring the complex, interconnected nature of project failure impacts in the Lagos construction industry. They highlight human stories behind the numbers and reveal systemic issues that quantitative data alone might not fully capture. This integration of quantitative and qualitative data offers a more comprehensive understanding of the challenges faced by construction professionals in Lagos and points toward areas for future research and industry improvement.
Theoretical implications
This study contributes significantly to the body of knowledge on construction project management, particularly in the context of developing urban environments. Our findings advance stakeholder theory in construction management by providing a more detailed understanding of how different groups are impacted by and perceive project failures. The identification of distinct impact patterns across stakeholder groups challenges simplistic, one-size-fits-all approaches to project risk management and stakeholder engagement. The study’s results also contribute to the evolving discourse on the role of construction projects in urban development. By highlighting the substantial impacts on the general public, findings from this study emphasize the need for a more holistic, society-centric approach to understanding project success and failure. This perspective aligns with and extends recent theoretical work by scholars such as Hedborg and Karrbom Gustavsson (2020), Hamdan, Andersen and de Boer (2021), and Maddaloni and Sabini (2022) on the societal embeddedness of construction projects.
Practical and societal implications
The findings from this study have significant implications for the construction industry and urban development in Lagos. Practically, the results call for a fundamental shift in how project risks are assessed and managed. The high impact on various stakeholders necessitates a more integrated approach to project planning and execution, one that considers financial, operational, and societal factors in equal measures. The revealed vulnerability of clients and the general public to project failures implies a need for more robust protection mechanisms. This could involve drastic policy changes to safeguard investments and public interests, as well as improved transparency in project management to rebuild trust.
Societally, the study highlights the far-reaching consequences of construction project failures beyond immediate financial losses. The impacts on urban infrastructure, employment, and public trust in development initiatives suggest that failed projects can significantly hinder urban progress and social well-being. This underscores the need for urban planning strategies that are more resilient to project setbacks and that prioritize long-term community benefits. The findings also point to a need for cultural change within the industry, particularly in attitudes toward safety and professional well-being. Addressing these aspects could lead to a more sustainable and responsible construction sector, better equipped to handle the challenges of rapid urban development.
By acknowledging and addressing these implications, stakeholders in the construction industry in Lagos can work toward creating a more resilient, equitable, and successful urban development process, ultimately contributing to improved quality of life and sustainable growth in the city.
Conclusion, recommendations, and future studies
This study reveals that the impacts of construction project failures in Lagos are multifaceted and far-reaching. The most significant effects, as indicated by high RSI values, are predominantly financial and economic in nature. Loss of revenue emerged as the most severe impact (RSI = 0.903), followed closely by cost escalation (RSI = 0.897) and time overruns (RSI = 0.892). These findings underscore the immediate and tangible consequences of project failures on stakeholders’ financial health and operational efficiency. Importantly, this study highlights that the repercussions of project failures extend beyond immediate financial concerns to encompass broader societal issues. The high RSI values for substandard infrastructure (0.869) and unemployment (0.890) among the general public indicate that failed projects have significant implications for urban development and socio-economic stability in Lagos. The stakeholder-specific analysis revealed that clients are the most severely affected group (overall RSI = 0.856), particularly in terms of financial impacts. However, the general public emerged as the second most impacted group (RSI = 0.847), challenging previous assumptions about the distribution of project failure consequences. Contractors and consultants, while less impacted overall, face significant challenges related to reputation damage and operational disruptions. The integration of qualitative insights from interviews provided crucial context to these quantitative findings. The interviews revealed the deep-seated psychological impacts of project failures on professionals, the erosion of public trust in urban development initiatives, and the complex blame culture that often hinders learning and improvement in the industry.
The findings of this study provide a foundation for several key recommendations aimed at mitigating the impacts of construction project failures in Lagos and similar urban contexts, as follows:
1. For policymakers and regulatory bodies, the development and enforcement of more stringent financial oversight mechanisms for construction projects is paramount. This could include mandatory financial health checks at regular project milestones and the implementation of escrow accounts for project funds. Additionally, the establishment of a comprehensive database of project failures, their causes, and impacts could serve as a valuable learning tool for the industry and inform future policy decisions.
2. Project owners and clients should adopt more robust risk assessment tools that consider not only financial risks, but also societal and environmental impacts of potential project failures. Implementing stakeholder engagement strategies that involve the local community throughout the project life cycle is crucial, addressing the high impact on the general public revealed in our findings. The use of performance bonds or other financial instruments should be considered to mitigate the risk of contractor default, given the high financial impact on clients identified in the study.
3. For contractors and consultants, developing internal systems for continuous learning from project challenges and near-misses is essential, addressing the blame culture identified in our interviews. Investing in professional development programs that include stress management and resilience training is recommended, considering the psychological toll of project failures revealed in our study. Enhanced communication protocols with other stakeholders should be established to ensure early identification and collaborative resolution of potential issues that could lead to project failure.
4. Industry associations have a crucial role to play in fostering a culture of learning and improvement. Establishing mentorship programs pairing experienced professionals with newcomers can facilitate knowledge sharing on navigating project challenges. Regular forums for open discussion of project failures should be organized, promoting a culture of learning rather than blaming. Developing industry-wide best practices for project risk management, incorporating the insights from this study on the most severe impacts of project failures, would be beneficial for the entire sector.
5. Educational institutions can contribute by incorporating case studies of project failures into construction management curricula, emphasizing the multifaceted impacts revealed in this study. Developing courses on stakeholder management and community engagement in construction projects would address the significant societal impacts identified and prepare future professionals for the complex realities of urban construction projects.
This study has laid the groundwork for several promising avenues of future research. Longitudinal studies tracking the impacts of project failures over time could provide insights into how the severity of different impacts evolves and the long-term resilience of various stakeholder groups. Extending this research to other rapidly developing urban centers in Africa and beyond would allow for comparative analysis to identify common patterns and context-specific challenges in managing construction project failures. Given the insights from conducted interviews on the mental health toll of project failures, a dedicated study on the psychological impacts on construction professionals could yield valuable insights for industry support systems. In-depth research on how project failures influence public trust in urban development initiatives, involving surveys and focus groups with community members affected by failed projects, would provide crucial information for improving stakeholder engagement strategies.
A detailed economic analysis of how construction project failures impact the broader urban economy, including effects on small businesses and informal sectors, could offer valuable insights for policymakers and urban planners. Given the relatively low prioritization of safety impacts in our findings, a focused study on safety culture in the Lagos construction industry could provide crucial insights for improving workplace safety. Investigating the complex interactions between different stakeholder groups during project failures, focusing on communication patterns and conflict resolution strategies, would enhance our understanding of project dynamics. Exploring how the adoption of new technologies (e.g., building information modeling, computer vision, and project management software) influences the likelihood and impacts of project failures could guide technology investment decisions in the industry.
While this study provides valuable insights, it is important to acknowledge its limitations. The study was conducted with a sample of 78 respondents, which, while providing significant insights, may not be fully representative of the entire Lagos construction industry. Future studies could benefit from a larger sample size. The cross-sectional nature of the study provides a snapshot of perceptions at a single point in time; a longitudinal approach could offer insights into how perceptions of project failure impacts change over time. Despite these limitations, this study provides a solid foundation for understanding the impacts of construction project failures in Lagos and offers valuable insights for both practice and future research in the field of construction management in rapidly developing urban contexts. The findings and recommendations presented here serve as a starting point for improving project outcomes and mitigating the wide-ranging impacts of construction project failures in Lagos and similar urban environments.
References
Adenuga, O.A., Osuizugbo, I.C. and Imoesi, I.B. 2022. ‘Internal Stakeholders’ Contribution to Building Collapse in Lagos State, Nigeria: A Perceptual Survey’, Civil and Sustainable Urban Engineering, 2(2), pp. 67–81. https://doi.org/10.53623/csue.v2i2.118
Ahmed Ezzat Othman, A. 2014. Project Failure Factors and Their Impacts On The Construction Industry: A Literature Review. https://www.researchgate.net/publication/271906893
Ahmed, S. 2019. Causes and effects of accident at construction site: A study for the construction industry in Bangladesh, International Journal of Sustainable Construction Engineering and Technology, 10(2), pp. 18–40. https://doi.org/10.30880/ijscet.2019.10.02.003
Akims, U. and Akims, M.A. 2022. Building Failures in Nigeria: Causes and Measures to Mitigate the Occurrence, Basic and Applied Research Journal, 5(4), pp. 16–22.
Akoni, O. 2022, December 14. Proposed 4th Mainland Bridge: Stakeholders, property owners raise concern over compensation. Vanguard News. Available at: https://www.vanguardngr.com/2022/12/proposed-4th-mainland-bridge-stakeholders-property-owners-raise-concern-over-compensation/ [Accessed 2 October 2024].
Alade, T., Edelenbos, J. and Gianoli, A. 2019. ‘Adapting Urban Light-Rail Transport to the African Context: A Process Conducted by Transport Authorities and Chinese Rail Corporations in Addis-Ababa, Abuja, and Lagos’, Urban Science, 3(4). https://doi.org/10.3390/urbansci3040109
Anthony, N.U. 2013. Building Failures/Collapses and their Reputational Effect on Building Industry in Nigeria, International Journal of Science and Research. www.ijsr.net
Arora, S.K. 2023. Project Failure: A Bad Communication (Case Study)’, International Journal of Management and Humanities, 9(5), pp. 5–7. https://doi.org/10.35940/ijmh.E1553.019523
Asiedu, R.O. and Adaku, E. 2020. ‘Cost overruns of public sector construction projects: a developing country perspective’, International Journal of Managing Projects in Business, 13(1), pp. 66–84. https://doi.org/10.1108/IJMPB-09-2018-0177
Assaad, R. et al. 2020. Enhancing the Knowledge of Construction Business Failure: A Social Network Analysis Approach. https://doi.org/10.1061/(ASCE)CO.1943-7862.0001831
Assaf, S. et al. 2019. Significant causes of claims and disputes in construction projects in Saudi Arabia’, Built Environment Project and Asset Management, 9(5), pp. 597–615. https://doi.org/10.1108/BEPAM-09-2018-0113
Azil, N.A.S. and Jabar, I.L. 2021. A Preliminary Survey On Safety Practices At Construction Site: Towards Safe Environment For Public’, Journal of Tourism, Hospitality and Environment Management, 6(26), pp. 300–310. https://doi.org/10.35631/JTHEM.626027
Bhagat, G. and Jha, K.N. 2023. Corruption Risks in Public Construction’, Journal of Legal Affairs and Dispute Resolution in Engineering and Construction, 15(2). https://doi.org/10.1061/JLADAH.LADR-936
Bikitsha, L. and Amoah, C. 2022. Assessment of challenges and risk factors influencing the operation of emerging contractors in the Gauteng Province, South Africa’, International Journal of Construction Management, 22(11), pp. 2027–2036. https://doi.org/10.1080/15623599.2020.1763050
Boadu, E.F., Wang, C.C. and Sunindijo, R.Y. 2020. ‘Characteristics of the construction industry in developing countries and its implications for health and safety: An exploratory study in ghana’, International Journal of Environmental Research and Public Health, 17(11), pp. 1–21. https://doi.org/10.3390/ijerph17114110
Bolaji, S. 2023, September 7. Lagos’ Blue Line resurrects Jakande’s metro vision. Punch Newspapers. https://punchng.com/lagos-blue-line-resurrects-jakandes-metro-vision/ [Accessed 2 October 2024].
Bowen, P.A., Edwards, P.J. and Cattell, K. 2012. Corruption in the South African construction industry: A thematic analysis of verbatim comments from survey participants, Construction Management and Economics, 30(10), pp. 885–901. https://doi.org/10.1080/01446193.2012.711909
Campbell, S. et al. 2020. Purposive sampling: complex or simple? Research case examples, Journal of Research in Nursing, 25(8), pp. 652–661. https://doi.org/10.1177/1744987120927206
Casady, C.B. and Baxter, D. 2020. ‘Pandemics, public-private partnerships (PPPs), and force majeure | COVID-19 expectations and implications’, Construction Management and Economics, 38(12), pp. 1077–1085. https://doi.org/10.1080/01446193.2020.1817516
Damoah, I.S. and Akwei, C. 2017. Government project failure in Ghana: a multidimensional approach, International Journal of Managing Projects in Business, 10(1), pp. 32–59. https://doi.org/10.1108/IJMPB-02-2016-0017
Damoah, I.S., Mouzughi, Y. and Kumi, D.K. 2020. The effects of government construction projects abandonment: stakeholders’ perspective, International Journal of Construction Management, 20(5), pp. 462–479. https://doi.org/10.1080/15623599.2018.1486172
Deb, R., Mitchell, M. and Pai, M.M. 2022. (Bad) reputation in relational contracting’, Theoretical Economics, 17(2), pp. 763–800. https://doi.org/10.3982/TE4803
El-Sayegh, S.M. et al. 2021. ‘Risk identification and assessment in sustainable construction projects in the UAE’, International Journal of Construction Management, 21(4), pp. 327–336. https://doi.org/10.1080/15623599.2018.1536963
Esteki, M., Gandomani, T.J. and Farsani, H.K. 2020. ‘A risk management framework for distributed scrum using prince2 methodology’, Bulletin of Electrical Engineering and Informatics, 9(3), pp. 1299–1310. https://doi.org/10.11591/eei.v9i3.1905
Falana, Justina N, Ghazaly, N.M. and Falana, J N. 2019. Examination of Causes and Effects of Accident on Construction Sites: (Case Study of Lagos, Lagos State, Nigeria)’, International Journal of Advanced Science and Technology, 28(16), pp. 1687–1694. https://www.researchgate.net/publication/338083905
Fehan, H. and Aigbogun, O. 2023. ‘Modelling the Impact of Environmental Factors on the Performance of Construction Companies through the Lens of Institutional Pressures’, Green Building & Construction Economics, pp. 19–34. https://doi.org/10.37256/gbce.4120232151
Gupta, S.K. et al. 2019. Systematic literature review of project failures: Current trends and scope for future research, Computers and Industrial Engineering, 127, pp. 274–285. https://doi.org/10.1016/j.cie.2018.12.002
Hadan, H.A.M., Andersen, P.H. and de Boer, L. 2021. ‘Stakeholder collaboration in sustainable neighborhood projects—A review and research agenda’, Sustainable Cities and Society. Elsevier Ltd. https://doi.org/10.1016/j.scs.2021.102776
Hardardottir, U.M. and Moller, E. 2023. ‘Success Factors in Construction Project Management’, Sylwan [Preprint]. https://doi.org/10.59879/yz9uA
Hedborg, S. and Karrbom Gustavsson, T. 2020. ‘Developing a neighbourhood: exploring construction projects from a project ecology perspective’, Construction Management and Economics, 38(10), pp. 964–976. https://doi.org/10.1080/01446193.2020.1805479
Ibrahim, A. and Daniel, C. 2019. Project Failure and Its Influence on the Performance of Construction Firms in Nigeria, International Journal of Research in Business, Economics and Management, 3(2). Available at: www.ijrbem.com86
Johnson, R.M. and Babu, R.I.I. 2020. ‘Time and cost overruns in the UAE construction industry: a critical analysis’, International Journal of Construction Management, 20(5), pp. 402–411. https://doi.org/10.1080/15623599.2018.1484864
Kaja, N. and Goyal, S. 2023. Impact of Construction Activities on Environment, International Journal of Engineering Technologies and Management Research, 10(1). https://doi.org/10.29121/ijetmr.v10.i1.2023.1277
Kamal, A. et al. 2022. Risk Factors Influencing the Building Projects in Pakistan: From Perspective of Contractors, Clients and Consultants, International Journal of Construction Management, 22(6), pp. 1141–1157. https://doi.org/10.1080/15623599.2019.1683693
Kasim, O.F. 2018. ‘Wellness and illness: the aftermath of urban mass housing in Lagos, Nigeria’, Development In Practice, 28(7), pp. 952–963. https://doi.org/10.1080/09614524.2018.1487385
Lagos Bureau of Statistics. 2019. Lagos State GDP report: 2019 statistics summary. Lagos: Lagos Bureau of Statistics. Available at: https://www.lagosstate.gov.ng [Accessed 4 October 2023]
Maddaloni, F. Di and Sabini, L. 2022. ‘Very important, yet very neglected: Where do local communities stand when examining social sustainability in major construction projects?’, International Journal of Project Management, 40(7), pp. 778–797. https://doi.org/10.1016/j.ijproman.2022.08.007
Manoharan, K. et al. 2023. Assessment of critical factors influencing the performance of labour in Sri Lankan construction industry, International Journal of Construction Management, 23(1), pp. 144–155. https://doi.org/10.1080/15623599.2020.1854042
Mohd Fateh, M.A. and Yee, T.H. 2021. ‘Revisiting The Financial Issues And The Impact To Construction Projects In Malaysia’, Malaysian Journal of Civil Engineering, 33(2). https://doi.org/10.11113/mjce.v33.16269
Nissen, V. and Dittler, J. 2019. Measuring and managing the reputation of business consultancies’, in Contributions to Management Science. Springer, pp. 103–131. https://doi.org/10.1007/978-3-319-95999-3_5
Nweze, N. 2016. Failure of Public Infrastructure Projects in Nigeria: Causes, Effects and Solutions’, Texila International Journal of Management, 2(2), pp. 33–43. https://doi.org/10.21522/TIJMG.2015.02.02.Art004
Okagbue, H.I. et al. 2018. Systematic Review Of Building Failure And Collapse In Nigeria’, International Journal of Civil Engineering and Technology (IJCIET), 9(10), pp. 1391–1401. Available at: http://www.iaeme.com/IJCIET/index.asp
Okereke, O.C. 2017. ‘Causes of failure and abandonment of projects and project deliverables in Africa’, PM World Journal, VI(I), pp. 1–16. Available at: www.pmworldlibrary.net
Olabisi, O. et al. 2023. The Influence of Artisans on Building Failure and Collapse in Nigeria, International Journal of Innovative Science and Research Technology. Available at: www.ijisrt.com1266
Olawale, O. et al. 2022. Project reputation in construction: a process-based perspective of construction practitioners in the UK’, International Journal of Construction Management, 22(12), pp. 2267–2278. https://doi.org/10.1080/15623599.2020.1783598
Omopariola, E.D. et al. 2020. Contractors’ perceptions of the effects of cash flow on construction projects, Journal of Engineering, Design and Technology, 18(2), pp. 308–325. https://doi.org/10.1108/JEDT-04-2019-0099
Osei-Kyei, R. et al. 2023. ‘Review of risk management studies in public-private partnerships: a scientometric analysis’, International Journal of Construction Management, 23(14), pp. 2419–2430. https://doi.org/10.1080/15623599.2022.2063013
Pant, R. et al. 2018. Critical infrastructure impact assessment due to flood exposure’, in Journal of Flood Risk Management. Blackwell Publishing Inc., pp. 22–33. https://doi.org/10.1111/jfr3.12288
Park, J.E. 2021. ‘Schedule delays of major projects: what should we do about it?’, Transport Reviews, 41(6), pp. 814–832. https://doi.org/10.1080/01441647.2021.1915897
Perannagari, K.T. and Chakrabarti, S. 2020. Factors influencing acceptance of augmented reality in retail: insights from thematic analysis, International Journal of Retail and Distribution Management, pp. 18–34. https://doi.org/10.1108/IJRDM-02-2019-0063
Prebanić, K.R. and Vukomanović, M. 2023. ‘Exploring Stakeholder Engagement Process as the Success Factor for Infrastructure Projects’, Buildings, 13(7). https://doi.org/10.3390/buildings13071785
Rahman, I.A. et al. 2022. Structural Relationship of Causes and Effects of Construction Changes: Case of UAE Construction, Sustainability (Switzerland), 14(2). https://doi.org/10.3390/su14020596
Rashid, Y. 2020. Analysis of delay factors and their effects on construction projects’, Management Science Letters, 10(6), pp. 1197–1204. https://doi.org/10.5267/j.msl.2019.11.039
Sanni-Anibire, M.O. et al. 2020. ‘A risk assessment approach for enhancing construction safety performance’, Safety Science, 121, pp. 15–29. https://doi.org/10.1016/j.ssci.2019.08.044
Shahhosseini, V., Afshar, M.R. and Amiri, O. 2018. The root causes of construction project failure’, Scientia Iranica, 25(1), pp. 93–108. https://doi.org/10.24200/sci.2017.4178
Shoar, S., Chileshe, N. and Payan, S. 2022. Assessment of the causes and effects of design deficiencies for large construction projects using social network analysis’, International Journal of Managing Projects in Business, 15(2), pp. 371–395. https://doi.org/10.1108/IJMPB-03-2021-0065
Suleiman, A. et al. 2023. Addressing the Causes and Effects of Poor Communication in the Jordanian Construction Industry: A Study on Improving Project Performance’, Civil and Environmental Engineering, 19(1), pp. 156–166. https://doi.org/10.2478/cee-2023-0014
Taber, K.S. 2018. The Use of Cronbach’s Alpha When Developing and Reporting Research Instruments in Science Education’, Research in Science Education, 48(6), pp. 1273–1296. https://doi.org/10.1007/s11165-016-9602-2
Tijani, B., Jin, X.H. and Osei-Kyei, R. 2023. PESTEL analysis of mental health management of project management practitioners (PMPs) in architecture, engineering and construction (AEC) project organization, Smart and Sustainable Built Environment, 12(5), pp. 1002–1030. https://doi.org/10.1108/SASBE-04-2022-0074
Timothy Ibironke, O. et al. 2013. Analysis of Non-Excusable Delay Factors Influencing Contractors’ Performance in Lagos State, Nigeria, Journal of Construction in Developing Countries.
Ullah, N., Islam Showrav, I. and Masrur Eram, M. 2023. Effects of Project Failure Towards Stakeholders: A Review of Literature.
Wojewnik-Filipkowska, A. et al. 2021. ‘Obstacles and challenges in applying stakeholder analysis to infrastructure projects: Is there a gap between stakeholder theory and practice?’, Journal of Property Investment and Finance, 39(3), pp. 199–222. https://doi.org/10.1108/JPIF-03-2019-0037
Wu, G., Hu, Z. and Zheng, J. 2019. Role stress, job burnout, and job performance in construction project managers: The moderating role of career calling’, International Journal of Environmental Research and Public Health, 16(13). https://doi.org/10.3390/ijerph16132394
Yang, J. and Cheng, Q. 2020. The impact of organizational resilience on construction project success: Evidence from large-scale construction in China’, Journal of Civil Engineering and Management, 26(8), pp. 775–788. https://doi.org/10.3846/jcem.2020.13796
Yap, J.B.H. et al. 2021. ‘Revisiting critical delay factors for construction: Analysing projects in Malaysia’, Alexandria Engineering Journal, 60(1), pp. 1717–1729. https://doi.org/10.1016/j.aej.2020.11.021
Zwikael, O., Meredith, J. R., and Smyrk, J. 2019. The responsibilities of the project owner in benefits realization. International Journal of Operations & Production Management, 39(4), 503-524. https://doi.org/10.1108/IJOPM-02-2018-0086