Construction Economics and Building, Vol. 18, No. 2 June 2018
ISSN 2204-9029 | Published by UTS ePRESS | ajceb.epress.lib.uts.edu.au
RESEARCH ARTICLE
Investigating the Relationships between Safety Climate and Safety Performance Indicators in Retrofitting Works
Evan A Nadhim1*, Carol Hon1*, Bo Xia1, Ian Stewart2, Dongping Fang3
1 School of Civil Engineering and Built Environment, Queensland University of Technology (QUT), Queensland 4001, Australia.
2 Institute of Health and Biomedical Innovation, Queensland University of Technology (QUT), Queensland 4001, Australia.
3 Department of Construction Management, Tsinghua University, Beijing 100084, China.
*Corresponding authors: Evan A Nadhim and Carol Hon, School of Civil Engineering and Built Environment, Queensland University of Technology (QUT), Queensland 4001, Australia, evanalaa.nadhim@hdr.qut.edu.au or ivanalaa77@gmail.com and carol.hon@qut.edu.au.
DOI: http://dx.doi.org/10.5130/AJCEB.v18i2.5994
Article History: Received 25/03/2018; Revised 19/05/2018 & 01/06/2018; Accepted 04/06/2018; Published 27/06/2018
Citation: Nadhim, E. A., Hon, C., Xia, B., Stewart, I. and Fang, D. 2018. Investigating the Relationships between Safety Climate and Safety Performance Indicators in Retrofitting Works. Construction Economics and Building, 18:2, 110-129. http://dx.doi.org/10.5130/AJCEB.v18i2.5994
© 2018 by the author(s). This is an Open Access article distributed under the terms of the Creative Commons Attribution 4.0 International (CC BY 4.0) License (https://creativecommons.org/licenses/by/4.0/), allowing third parties to copy and redistribute the material in any medium or format and to remix, transform, and build upon the material for any purpose, even commercially, provided the original work is properly cited and states its license.
Abstract
Retrofitting works have become increasingly important in the construction industry as they play an effective role in providing solutions to maintain, upgrade or change the functions of existing or aged buildings. Very often, safety issues of retrofitting works are underestimated as such works are normally considered small projects/works, in which the accidents might not be reported in the short term. Therefore, qualitative indicators (i.e. safety climate and safety behaviour) have become significant contributors in evaluating the organisational safety performance. This article aimed to examine the relationship between the safety climate and safety performance in the retrofitting works context. The safety climate of retrofitting works was measured by adopting the NOSACQ-50 questionnaire, while the safety performance was examined by three indicators comprising safety compliance, safety participation, and occupational injuries. A total of 264 valid questionnaire responses were collected from the local retrofits work sites in Australia. PLS-SEM technique was used to examine the relationship and estimate the parameters of the structural model. The results indicate that there is a significant positive relationship (0.60) between safety climate and safety performance in retrofitting works.
Keywords
Safety climate, safety performance, retrofitting works, construction industry, Australia.
Introduction
The construction industry is counted as one of the main pillars of the economy in most nations. In recent years, retrofitting works have become increasingly important mainly due to the large number of aged buildings that require sustained maintenance. It has become a prime solution to preserve, upgrade or adjust the functions of the existing buildings. Retrofitting works can apply in various works such as renovation, refurbishment, additions and alterations or even maintenance (Jin et al., 2014). The UK Green Building Council (UKGBC) defined retrofits as “directed alteration of the fabric, form or systems which comprise the built environment in order to improve energy, water and waste efficiencies” (Dixon, 2014). Retrofitting works are often required to improve the conditions of the domestic and commercial structures to enhance their performance sustainably (Gooding and Gul, 2016) and meet the current standards of seismic resistance and energy saving (Palmisano and Perilli, 2017). In Europe for instance, about 60% of the dwellings were built six decades ago (since 1960s), while 70-80% of the existing buildings will remain in use for a minimum of three more decades (Stafford, Gorse and Shao, 2011). The housing stock is expected to conduct extensive retrofitting works for energy saving or sustainability (Gooding and Gul, 2017). Thus, it is not surprising that the amount of retrofitting works will be increased substantially to outweigh the amount of the new construction works in some countries. In Australia, alteration and addition works in the residential sector have increased by 1.5% between March 2016 and March 2017, whereas new constructions have decreased by 1% for the same period (ABS, 2017).
Furthermore, various governmental initiatives such as the Energy Efficient Homes Package (EEHP) in Australia (ANAO, 2010), the Property Assessed Clean Energy (PACE) programme in the United States (US) (PACE, 2012) and the Green Deal (GD) scheme in the United Kingdom (UK) (DECC, 2012; Hough and White, 2014) have been launched to encourage property owners to retrofit their properties to improve energy efficiency. Property owners may get some financial support to have lighting upgrades, chiller upgrade/replacement of air-conditioner unit, boiler upgrade, insulation and/or solar panel installation (MCCa, 2015). As a result, the construction industry has witnessed a rapid increase of retrofitting works in recent years.
However, these works have various safety issues, as a wide range of retrofitting works have been conducted under unsatisfactory conditions. Very often retrofitting works are small projects/works that are mainly undertaken by small and medium-sized contractors (Hon, 2012). Retrofitting works are prone to higher risks due to various challenges including limited safety resources, low safety awareness, poor housekeeping, inadequate safety supervision, insufficient safety training, high market competition, and low profit margins (Hon, Chan and Wong, 2010; Hwang, Zhao and Toh, 2014). Retrofitting work sites are usually congested with multiple trades of workers operating at the same time, resulting in unavoidable risks, such as limited space to install scaffolds. Workers at retrofitting sites may underestimate the likelihood of accidents when handling proportionally small tasks (Hon, Chan and Wong, 2010). Retrofitting works may not have to follow a specific sequence of procedure, thus leading to unexpected risks and hazards that have contributed to several deaths, not only in Australia but globally (Appleby, 2013; Hanger, 2014). Although unsafe behaviours have intrinsically been connected to workplace accidents (Mohamed, 2002), unsafe behaviour is just a blunt end of the safety problem. It is influenced by a variety of underlying organizational factors such as safety behaviour, safety climate and safety culture (Hon, Chan and Yam, 2014; Reason, 1995).
Safety climate has been widely researched to enhance safety performance at the workplace (Cooper and Phillips, 2004; Glendon and Litherland, 2001; Neal and Griffin, 2006; Neal, Griffin and Hart, 2000). Safety climate is a derivative of organizational climate that is defined as “perceptions of policies, procedures, and practices relating to safety in the workplace” (Choudhry, Fang and Lingard, 2009). It is considered as a psychological climate (Niskanen, 1994) that refers to the perceptions held by the individuals at work (Neal and Griffin, 2006). Although safety climate has become a useful instrument in different industries including construction, safety climate research in the retrofitting works field has been limited (Nadhim, Hon and Xia, 2016). Despite several studies conducted to investigate the relationship between safety climate and safety performance in new construction (Choudhry, Fang and Lingard, 2009; Dedobbeleer and Béland, 1991; Glendon and Litherland, 2001) and repair and maintenance (Hon, Chan and Yam, 2014), studies examining the relationships between safety climate and safety performance in retrofitting works have been limited. Therefore, this research has aimed to examine the relationships between safety climate and safety performance to fill the knowledge gap in the retrofitting sector in Australia.
Literature Review
Safety Climate
Safety climate is the employees’ shared perceptions from their work environments (Zohar, 1980). It is “a climate that promotes staff commitment to health and safety, emphasizing that deviation from corporate safety goals, at whatever level, is not acceptable” (Stranks, 2007, p.457). Kines et al. (2011) described it as “workgroup members’ shared perceptions of management and workgroup safety related policies, procedures and practices”. The outcomes of construction workers’ behaviour can be influenced by multiple factors, whereas comprehending these factors will introduce certain improvements to construction organizations (Zhang et al., 2016). Workers might act or react with unsafe behaviours for several reasons including, but not limited to: a lack of safety awareness, organizational factors (e.g. work pressure, co-workers’ attitudes), economic and psychological circumstances (Choudhry and Fang, 2008). Researchers therefore have attempted to identify safety climate factors to improve the organisational safety performance. Initially Zohar (1980) commenced identifying factors to perceive the climate of the safety in twenty factories. Then Brown and Holmes (1986) optimised Zohar’s (1980) factors into three categories, namely; 1) concerned management of employee well-being, 2) active management of this concern, and 3) physical risk perceptions. Later, Flin et al. (2000) analysed the most common safety climate factors from 53 studies in the UK industry, comprising management and supervision, safety system, risk, work pressure and competence. Early this decade, Kines et al. (2011) integrated four studies to evolve a safety climate instrument that have been validated in construction, food and steel industries (Yosefi et al., 2016). The safety climate factors are shown in Table 1 to demonstrate the relations with the retrofitting works.
Safety Performance
Safety performance indicates how safely an organisation is performing. A high level of safety performance denotes how well organised the worksite is, which discerns the role of safety management activities (Mohamed, 2002). Safety performance can also be known as “actions or behaviours that individuals exhibit in almost all jobs to promote the health and safety of workers, clients, the public, and the environment” (Burke et al., 2002).
In the occupational safety literature, safety performance is perceived as multi-dimensional. It has been measured by several indicators such as lagging and leading. The numbers of accidents/injuries and near-misses are the most conspicuous indicators when measuring safety performance (Hinze, Thurman and Wehle, 2013; Hon, Chan and Yam, 2014; SWA, 2015). Since work accidents are unpredictable and occurrence tends to be infrequent in a workplace, they are rather insensitive, as lagging indicators, to safety performance (Zahoor et al., 2017). Considering the above, the deficiency of using injuries as a safety performance predictor has boosted several studies that have attempted to use qualitative indicators (e.g. safety behaviour) in measuring safety performance (Hon, 2012).
Safety researchers have refined the indicators of safety performance mainly through two constructs comprising safety compliance and safety participation (Hon, Chan and Yam, 2014; Neal and Griffin, 2006; Zahoor et al., 2017). Safety compliance represents the required core safety actions that are needed to be carried out to retain a safe workplace (Hu, Griffin and Bertuleit, 2016). Such actions or behaviours comprise complying with the organization’s safety procedures and using the appropriate personal protective equipment (Neal and Griffin, 2006). Safety participation is considered as behaviour that will not be counted as an individual’s personal safety but assist the safety development in the work environment (Neal and Griffin, 2006). In contrast to safety compliance, safety participation represents volunteering in safety activities, helping co-workers with safety issues, and participating with safety meetings to support workplace safety (Hon, Chan and Yam, 2014). As qualitative indicators (safety compliance and safety participation) might be time-consuming to provide safety performance evaluation, they have been considered as leading indicators, as they provide a prediction indicator. Thus, it is necessary to measure the level of safety compliance and safety participation in the retrofitting sector, to predict safety performance.
Relationships between Safety Climate and Safety Performance
Establishing the relationship between safety climate and safety performance mainly relies on two methodologies; theoretical basis and practical manner. Safety climate is considered a psychological climate (Niskanen, 1994), which is formed from the workers’ occupational behaviour outcome (Zohar, 1980). Zohar (2003) proposed three theoretical assumptions to explore how climate perceptions influence safety performance; 1) climate perceptions impact on the expected results of behaviours, 2) such expected results impact on general (organisational) safety behaviours and 3) this safety behaviour impacts on companies’ safety records. Therefore, safety climate has been defined as a reflection of safety priority in an individual’s perceptions which inform the expectations of behaviour-resultant (Zohar, 2003). To establish the theoretical link between safety climate and safety performance, various researchers (e.g. (Hon, Chan and Yam, 2014; Neal and Griffin, 2006) have combined organizational climate and human performance theories to investigate the organizations’ safety perceptions. This theoretical integration has provided a concrete mediation to the relationship that underlies the individual’s work performance (Griffin and Neal, 2000). Two social theories underpin the relationship between safety climate and safety performance, namely the social exchange and the expectancy-valence. Social Exchange expects that if an organization has serious concerns about their employees’ well-being, the employees will perform behaviours that would benefit their organization (Hon, Chan and Yam, 2014; Neal and Griffin, 2006). When safety is the organization’s concern, the employees will reciprocate by complying with the safety procedures (Hofmann and Morgeson, 1999). The second theory is the Expectancy-Valence that predicts that employees believe that complying with safety procedures and participating in safety tasks will produce valued outcomes if there is a motivational process that has been made towards them (Hon, Chan and Yam, 2014; Neal and Griffin, 2006).
In practical terms, the existence and level of the relationship between safety climate and safety performance varies depending on the industry context. Through the safety literature, it was clearly declared that there is a significant relationship between safety climate and safety performance (Clarke, 2006; Hon, Chan and Yam, 2014; Nadhim, Hon and Xia, 2016; Neal and Griffin, 2006; Siu, Phillips and Leung, 2004). Comprehensive meta-analysis studies of Clarke (2006) and Christian et al. (2009) have indicated that safety climate is considered a significant contributor to safety performance. Several studies revealed that safety climate can influence the safety behaviour of employees in an organisation (Clarke, 2006; Hon, Chan and Yam, 2014; Neal and Griffin, 2006; Zohar, 1980), though other studies have not recognized the relationship (Cooper and Phillips, 2004; Glendon and Litherland, 2001). This is due to the variability of the study environment, sample and methodology undertaken.
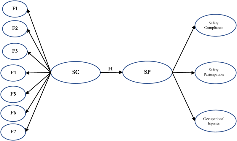
Griffin and Neal (2000) undertook two studies in different Australian organizational contexts: manufacturing and mining. They have shown a strong relationship between safety climate and safety compliance and safety participation, in addition to a weak relationship with accidents/injuries. Furthermore, Mohamed (2002) identified a positive relationship between the safety climate and safe work behaviour. In Mohamed’s model, the safety climate comprises of the workers’ perceptions of safety and safe work behaviour in the work environment. Hon, et al. (2014) aimed to examine the relationships between safety climate and safety performance in repair, maintenance, minor alteration, and addition (RMAA), in Hong Kong. The safety climate was positively correlated with safety participation and safety compliance and significantly negatively correlated with self-reported near misses and injuries. In this study, the current research hypothesis is that retrofitting works’ safety climate has positive correlation with retrofitting works’ safety performance, as shown in Figure 1.

Figure 1 Structural model to examine the relationship between safety climate and safety performance. Note: SC: Safety Climate, F1-F7: safety climate factors, SP: Safety Performance
Research Method
A quantitative approach was adopted in collecting and analysing data in the current research. The scientific literature was utilised to construct the hypothetical model of the relationships between safety climate and safety performance in retrofitting works in the Australian construction industry. Conventionally, safety climate and safety performance were measured by questionnaire survey.
Questionnaire Survey
A questionnaire survey has become a well-known method that has various advantages for data collection, including cost and analysis. Safety questionnaire survey aimed to discover retrofitting workers’ safety perceptions. The questionnaire has three sections. The first contains four domains to scale the demographic information; personal attributes (age, marital status, smoking and alcohol consumption), knowledge level (education level and work experience), work-related attributes (employee status, working level, work trad) and safety attitude (White Card, received training and courses).
The second section measured the safety climate of the retrofitting workers. NOSACQ-50 was adopted because it has covered major safety climate factors (Kines et al., 2011), and was developed mainly in the construction industry. It contains seven factors with 50 items. It has relied on 5-point Likert-scale from “1=Strongly Disagree” to “5=Strongly Agree” for evaluating subjects’ agreement. The global Cronbach’s Alpha value across seven factors was (0.94) and individually was between 0.78 to 0.86, which represents good reliability. The validity of NOSACQ-50 questionnaire has been discerned as it has been applied in five Nordic European countries (Kines et al., 2011), in two chemical-plants, Sweden (Bergh, Shahriari and Kines, 2013), in a Persian steel company in Iran (Yosefi et al., 2016) and other studies not limited to the safety field. It has acquired validity in practice as it is available in more than 25 languages (Kines, 2017). Therefore, NOSACQ-50 questionnaire was considered as an appropriate instrument to measure the occupational safety climate of the retrofitting sector in the Australian construction industry.
The third section measured the safety performance of the retrofitting workers in 14 questions through three indicators comprising safety compliance, safety participation and occupational injuries. Four questions were used to measure the level of compliance with safety procedures of the respondents and their co-workers. Two questions were adopted from Neal and Griffin (2006) that used five-point Likert rating scale. The other two questions were adopted from Mohamed (2002). The measuring scale was modified for consistency to follow the 5-point scale rather than using the percentage (0%-100 sectioned to tens). Six questions were used to measure the respondents’ level of participation with safety activities in a 5-point measuring scale. Two questions were adopted from Neal and Griffin (2006, p.953) with some clarifications. The other four questions were developed to measure the level of the personal safety responsibility in retrofitting works as it has important considerations in the Australian construction industry. Although the statistics of injuries are classified as infrequent and unpredictable for reliable safety approaches (Chhokar and Wallin, 1985), it is still considered as a valid lagging indicator of safety performance. Four questions were developed to measure the occupational injuries of the respondents in the last 12 months, namely 1) number of near misses, 2) number of injuries without absence, 3) number of injuries less than three days absence, and 4) number of injuries require more than three days absence.
Participants
The targeted sample was the crews of retrofitting projects. To obtain the participants for the current research, retrofit stakeholders were searched by using the websites of Queensland Building and Construction Commission (QBCC) and the Union for Australian Construction Workers (CFMEU). A total of 858 formal invitations were sent to the approved email lists asking for participation in this academic research. However, the online response rate was poor (less than 3%; 28 total responses). An earnest step, therefore, was taken to change the data collecting method. Field patrols were conducted searching for local retrofitting projects throughout Brisbane suburbs, Queensland, Australia (BCC, 2017). Throughout 52 suburbs, 41 retrofitting projects were visited and 635 questionnaires distributed. The questionnaire survey was administered across seven months between March and September 2016. The final number of the dispatched questionnaires including the online and hard copies was 1493 (858+635) and the total number of returned hard copies was 310 (28+282).
Data Analysis
The data analysis started with reviewing missing data, outliers and suspicious observations. Missing data was checked to ensure that the data sets were equivalent in all variables. Thirty-six questionnaires were excluded as the ratio of the missing data was more than 20%, while it should be less than 5% (Hair et al., 2014a). Outliers are inescapable issues in most data sets in different fields. Adjusting the outlier values to retain data normality is preferable to performing a deleting process (Hoaglin, Iglewicz and Tukey, 1986). To detect the outliers, researchers have found that data normality check (i.e. Kurtosis and Skewness) was an accurate and reliable indicator for outliers that retain normality of the data (Zijlstra, Van der Ark and Sijtsma, 2013). The treatment techniques of the outliers can vary depending on the data types. Winsorization was considered an effective technique, as discussed in the literature, especially for data that scaled though scores (e.g. five-point scale) (Liao, Li and Brooks, 2016). Most of the safety climate and safety performance data had less than 5% of outliers. Screening the data means searching for aberrant (suspicious) observations. This can be done by checking the level of variance for the answers in each response that reveals the unengaged responses. In other words, the respondents’ answers were examined by calculating the variance of its scores. When the value of the variance is close or equal to zero, this means the answers for most questions were the same. This indicates that the participant was not motivated in answering the questions in the questionnaire. It is important to maintain the normality of data distribution. Thus, ten unengaged responses were deleted as the values of the variance were very close to zero. After the filtering process and before moving on to the analysis process, the total number of the received questionnaires was 310 and the total valid number of questionnaires was 264. The response rate was 21% while the response rate of valid questionnaires was 17%. The percentage of the valid questionnaires was 85% of the total received questionnaires.
Data were analysed through IBM® SPSS® 23 for descriptive statistics and reliability (Norušis, 1986). Although Covariance-Based Structural Equation Modelling (CB-SEM) is undoubtedly popular and a widely applied method, data sets seldom meet the requirements/conditions (Wong, 2013). As a sufficient alternative method, partial least squares of Structural Equation Modelling (PLS-SEM) has become important in theory testing in various disciplines (Hair et al., 2014b). PLS is a variance based rather than covariance-based analysis method. PLS-SEM was employed to investigate the direct relationship between the latent variables (safety climate and safety performance). SmartPLS was the chosen software package to conduct the analysis.
A reflective structural equation model was established, containing two measurement models. The first measurement model was to evaluate the safety climate of retrofitting works. The second measurement model was for the safety performance. It measures the relationship of safety performance through three 1st order latent constructs (safety compliance, safety participation and occupational injuries). The structural model has examined the direct relationship between the 2nd order exogenous latent variable (safety climate) and the 2nd order endogenous latent variables (safety performance). This structural model has unique features as most of the existing literature examines the relationship between safety climate and the 1st order latent variables (i.e. safety performance constructs). SmartPLS was utilised to estimate the measurement and structural models’ parameters and statistical indices.
Research Findings
As shown in Table 2, of the total respondents, the workers represent more than half (N=156, 59%), followed by supervisors about one third (N=74, 28%) and managers (N=34, 13%). The age categories of 26-35, 36-45 and 46-55 have dominated more than three-quarters (77%) of the sample. 62% of all respondents were married and 84% of them were employed. More than half (62%) of the respondents were married and the rest were singles (38%). More than two thirds (84%) of the respondents were employee while 16% of the respondents were self-employed.
The education level has an important contribution to understanding safety instructions. Around 80% of the respondents had completed “High school or Certificate or Diploma”. Whereas approximately 10% held university degrees, mainly those in the roles of supervisors and managers, as shown in Table 3. Work experience can enhance the knowledge of safety in the retrofitting sector. More than 50% of the workers had between 2-10 years in the industry while about 50% of the managers had more than 15 years’ experience.
Alcohol consumption of respondents was also evaluated. The option “I do not drink Alcohol at work” was the highest (56%). It is understandable that consuming alcohol during work is illegal. It also shows the percentage of the participants consuming alcohol out of work-hours which might have a significant influence on the following working day depending on the quantity of alcohol consumed. Generally, 45% of the respondents consume alcohol during and out of work times. This can be a significant reason to prompt safety researchers and practitioners to investigate in-depth such an influential habit. In addition, 67% of the respondents indicated that they do not smoke at all, while 14% had been smoking all the time as shown in Table 4.
The mean scores of the safety climate and safety performance were 4.0 and 3.32 respectively. The mean and the standard deviation of the safety climate scores have obvious differences between workers, supervisors and managers. However, mean and standard deviation of the safety performance scores have shown convergence between different groups of participants. This might expound that the standard of safety performance is quite similar at any work-site. Mean, standard deviation and reliability of the safety climate factors and safety performance variables were calculated, as shown in Table 5. The lowest mean among the safety climate factors was F5 (workers’ safety priority and risk non-acceptance) (3.57) also with the highest standard deviation (1.23). The results of the rest of the safety climate factors were close to the Kines et al. (2011) outcomes. The mean scores of safety-compliance and safety-participation were very close to each other, i.e. 4.35 and 4.32 respectively. Whereas the mean value of the occupational injuries was close to zero. The correlations among safety climate factors were statistically significant. The occupational injuries and safety compliance were negatively correlated with safety participation (-0.25, -0.14 respectively).
The structural model demonstrated a significant positive relationship between safety climate and safety performance. The relationship strength (loading) was 0.60 with 36% of variance explained (R2). The path coefficients (loadings) of the measurement models were acceptable as they were over 0.70 and statistically significant, as shown in Figure 2 and in Table 6. However, the construct of occupational injuries was below the threshold (-0.36) which means negatively correlated with the safety performance, as found in the literature (Hon, Chan and Yam, 2014).

Figure 2 Reflective PLS-SEM Structural Model between Safety Climate and Safety Performance in Retrofitting Works. Note: values in the path indicate the loadings, values in parentheses represent R2 of the latent variables (explained variance)
The loadings of the observed indicators were statistically significant, and all were above 0.40, as shown in Table 7 and Table 8.
| F1 | F2 | F3 | F4 | F5 | F6 | F7 |
|---|---|---|---|---|---|---|
| 0.70 | 0.78 | 0.76 | 0.79 | 0.72 | 0.79 | 0.76 |
| 0.71 | 0.78 | 0.75 | 0.81 | 0.81 | 0.84 | 0.81 |
| 0.70 | 0.75 | 0.84 | 0.70 | 0.82 | 0.75 | 0.86 |
| 0.82 | 0.74 | 0.76 | 0.81 | 0.77 | ||
| 0.81 | 0.70 | 0.78 | ||||
| 0.78 | ||||||
| 0.75 |
| Safety Compliance | Safety Participation | Occupational Injuries |
|---|---|---|
| 0.88 | 0.78 | 0.81 |
| 0.76 | 0.79 | 0.77 |
| 0.92 | 0.82 | 0.81 |
| 0.87 | 0.8 |
The composite reliability values of safety climate and safety performance (0.95, 0.82) were higher than Cronbach’s Alpha values (0.94, 0.77), respectively. As the principal of PLS-SEM is to maximise the explained variance, the convergent validity measures average variance extracted (AVE). The AVE values of the measurement models were over 0.50, indicating sufficient variance explained. However, the AVE values of second-order latent variables (safety climate and safety performance) were less than 0.50, as shown in Table 9.
Discriminant validity is to test whether the structural equation model has distinct latent variables in representing the data. In PLS, discriminant validity is measured by calculating Heterotrait-Monotrait ratio (HTMT) with a cut-off criterion of less than 0.85 or 0.90 (Hair, Ringle and Sarstedt, 2011; Henseler, Ringle and Sarstedt, 2015; Voorhees et al., 2016). Table 10 shows that all HTMT ratios of the measurement and structural models were less than of 0.85. This means the constructs of the PLS-SEM were distinguishable and not related to each other.
Discussions
Safety plays a substantial role in the retrofitting sector as retrofitting works witness serious accidents or possible fatalities for the retrofitting crews. The most common accidents in retrofitting works are falling from heights, falling objects, hazards of using (old) materials and power tools, and hitting/bumping the head and bruises (Nadhim, Hon and Xia, 2016). This has raised concerns about safety performance in the retrofitting context.
The present research investigated the relationship between safety climate and safety performance in the retrofitting context. A structural model was built relying on occupational safety literature. The data was collected through a safety questionnaire survey. The established structural model has revealed a significant positive correlation (0.6) between safety climate and safety performance, with 36% of the variance explained. The findings were consistent with the previous studies such as Hon et al. (2014) and Zahoor et al. (2017).
Safety researchers identified deficiencies in safety management procedures and systems mainly through questionnaire surveys (Choudhry, Fang and Lingard, 2009). Essentially, the NOSACQ-50 questionnaire measures the safety climate with 7 factors through 50 items (Kines et al., 2011). The current study retained the seven factors but with fewer items. A total of 31 (62%) out of 50 items have been employed to measure the safety climate of retrofitting works. These items (questions) have reflected the true safety climate of retrofitting works. There is a slight difference in the safety climate questionnaire results between the current research and Kines et al. (2011), which is mainly due to the variations among the construction industry sectors, as shown in Table 11.
| Safety Climate Factors | Current Study | Kines et al. (2011) | ||
|---|---|---|---|---|
| Mean (SD) | α (items) | Mean (SD) | α (items) | |
| Management safety priority, commitment and competence (F1) | 3.96 (0.94) | 0.80 (5) | 3.96 (0.52) | 0.85 (9) |
| Management safety empowerment (F2) | 3.89 (0.94) | 0.80 (5) | 3.96 (0.50) | 0.81 (7) |
| Management safety justice (F3) | 4.00 (0.94) | 0.70 (3) | 4.25 (0.50) | 0.79 (6) |
| Workers’ safety commitment (F4) | 4.04 (0.92) | 0.70 (3) | 4.17 (0.56) | 0.86 (6) |
| Workers’ safety priority and risk non-acceptance (F5) | 3.57 (1.23) | 0.78 (4) | 3.93 (0.60) | 0.81 (7) |
| Safety communication, learning, and trust in co-worker safety competence (F6) | 4.21 (0.64) | 0.90 (7) | 4.16 (0.47) | 0.85 (8) |
| Workers’ trust in the efficacy of safety systems (F7) | 4.20 (0.70) | 0.82 (4) | 4.43 (0.48) | 0.85 (7) |
| Overall | 3.98 (0.92) | 0.94(31) | 4.12(0.51) | 0.88(50) |
Safety climate factors have reasonable mean scores showing that safety climate influenced safety performance. Fang, Chen and Wong (2006) have concluded that workers who have high safety commitment usually possess a good safety perception of their workplace. They have also found that workers, who have active communication and rarely infringe the regulations of safety have a positive safety climate. F5 had the lowest mean scores (3.57). As retrofitting works are considered small projects that are undertaken by small businesses, retrofitting crews might not work in a social environment that contributes to reducing the stress that, in turn, shows a passivity toward safety. Thus, workers may not have given safety a high priority, which has led them to accept taking risks in their daily jobs. This could establish a norm that favours production over safety. Such norms would not increase individual safety behaviour, but the workers might anticipate that safe behaviour can be socially rewarding when working in a group. Encouraging active communication, learning and good behaviours can significantly improve the safety performance of retrofitting works. The safety performance will be enormously enhanced if the top management showed commitment to safety (Zahoor et al., 2017).
The safety performance was measured through safety compliance, safety participation and occupational injuries. Safety compliance and safety participation were highly positively correlated with safety performance (0.94, 0.89 respectively) with good variance rates explained (0.87, 0.79 respectively), as shown in Table 5. Neal and Griffin (2006) indicated a stronger relationship between safety climate and safety compliance than safety participation. Moreover, the Clarke (2006) meta-analysis indicated that safety participation (0.50) had higher credibility value than safety compliance (0.43). However, retrofitting crews are attempting to comply with safety rules to achieve the required safety level rather than participating in extra safety activities voluntarily. Thus, the safety compliance of the retrofitting works has a higher mean score than the safety participation. This difference is because the research of Neal and Griffin was conducted in the hospital context, where employees habitually comply with safety rules. Another possible reason may be that the hospital has a static work environment, while the retrofitting context as part of construction industry is considered a dynamic work environment (Rasmussen, 1997; Zohar and Luria, 2004). The typical characteristics of retrofitting works (e.g. short work period, multi-tasks, minute tasks) may weaken the workers’ motivation to participate in optional safety activities. This refers to the fact that there may be another latent variable influencing the safety performance of retrofitting works in addition to the safety climate, such as the surrounding environment, work type or personal attitude.
The structural equation model was established to examine the relationship between the safety climate and safety performance in the retrofitting works’ sector. This model was a second order structural model in testing the relationship between the latent variables. The safety climate was as a second-order exogenous and the safety performance was as a second-order endogenous. Indeed, the safety literature has depicted a positive relationship among safety climate and safety compliance and safety participation (Clarke, 2006; Hon, Chan and Yam, 2014; Neal and Griffin, 2006). The findings of the current research were similar to the studies of Hon et al., (2014) and Zahoor et al. (2017). The current structural model has shown a positive relationship (0.60) between safety climate and safety performance with 36% (R2=0.36) of the variance explained. Therefore, the research hypothesis was supported. In addition, increasing safety awareness and communication, and regular training for retrofitting workers can assist the retrofit crews.
The construction industry has clear safety rules and practice guidelines that are regularly updated. However, there is a lack of comprehensive existing guidelines for small and medium-sized contractors. To ensure health and safety, workers in the retrofitting sector should be aware of safety duties and must have the right risk assessments to follow the correct procedures (Hon, Chan and Yam, 2014). When the responsibility for health and safety have been seriously considered by the contractors, the importance of identifying accidents’ root causes becomes more important than blaming the workers. Conventionally, safety performance is gauged through accidents’ statistics (Hon, Chan and Yam, 2014). However, statistics are not available for the retrofitting sector. While the near misses have been utilised as metrics/leading indicators in some companies (Hinze, Thurman and Wehle, 2013), the retrofitting accidents could be avoided if there are statistics showing the seriousness of those accidents.
Conclusion
The occupational health and safety (OHS) in the construction industry remains at the forefront of each regulation. Meanwhile, enhancing the sustainability of existing/aged buildings by employing retrofitting, renovation, refurbishment and remodelling has become high in demand in recent decades, globally. This need has raised the concerns of safety regulations in retrofitting works which are normally small projects.
This research has contributed to examining the relationship between safety climate and safety performance of the retrofitting sector. One of the principal contributions of this research was the determination of effective factors of the safety climate. By employing the NOSACQ-50 questionnaire, this research has offered an initial safety evaluation rather than relying on the simple statistics of the construction industry. More than half of the safety climate factors were newly implemented in retrofitting works such as management safety empowerment and justice, workers’ communication and learning, and workers’ trust in the efficacy of safety systems. In addition, measuring the safety performance of retrofitting works was achieved through using three constructs comprising safety compliance, safety participation and occupational injuries. Of the relationship between safety climate and safety performance, the results showed that the relationship strength was 0.6 with 36% of variance explained, which means there still room for unexplored variables.
The current research has some limitations. It had difficulty in securing participants from the approved lists of trades and contractors through the QBCC and CFMEU websites. As an alternative way of data collection, field patrols limited the sample to a restricted region (Brisbane, Queensland) by searching for local retrofitting projects. Another limitation is that the distributed questionnaire relied mainly on self-reported indicators to measure the perceptions of the participants’ safety climate and safety performance. This may lead to the common method variance issue, and the systematic variance of error can have serious impacts on empirical results leading to the possibility of misleading conclusions (Podsakoff et al., 2003). A further limitation is that the relationship between safety climate and safety performance of retrofitting works may have been overestimated given that PLS-SEM method uses the variance-based method that can have type I error, although the current research findings had a consistency with occupational safety literature in the construction industry (Hon, Chan and Yam, 2014; Mohamed, 2002; Zahoor et al., 2017). The observed indicators of occupational injuries in this study included the numbers of near misses, the number of injuries without absence, the number of injuries less than three days absence, and the number of injuries requiring more than three days absence. They were treated equally in this study. However, further thoughts on giving them different weighting to reflect the severity of incidents should be considered in future study.
Acknowledgements
This research was supported by the School of Civil Engineering and Built Environment, Science and Engineering Faculty, Queensland University of Technology (QUT). The research questionnaire survey was ethically approved by QUT Human Research Ethics Committee (UHREC) under the registration number (1500001076).
References
ABS, 2017. Building Activity, Australia [online]. Available at: http://www.abs.gov.au/ausstats/abs@.nsf/mf/8752.0 [Accessed 18 January 2017].
ANAO, 2010. Home Insulation Program. Austarlian National Audit Office, pp.1-17.
Appleby, P., 2013. Sustainable Retrofit and Facilities Management. US & Canada: Routledge. https://doi.org/10.1108/pm-01-2014-0004
BCC, 2017. Brisbane suburbs [online]. Available at: https://www.brisbane.qld.gov.au/about-council/council-information-rates/brisbane-suburbs [Accessed 05 January 2017].
Bergh, M., Shahriari, M. and Kines, P., 2013. Occupational safety climate and shift work. Chemical Engineering Transactions, 31, pp.403-408 DOI: 10.3303/CET1331068.
Brown, R. and Holmes, H., 1986. The use of a factor-analytic procedure for assessing the validity of an employee safety climate model. Accident Analysis & Prevention, 18(6), pp.455-70. https://doi.org/10.1016/0001-4575(86)90019-9
Burke, M.J., Sarpy, S.A., Tesluk, P.E. and Smith‐Crowe, K., 2002. General safety performance: A test of a grounded theoretical model. Personnel Psychology, 55(2), pp.429-57. https://doi.org/10.1111/j.1744-6570.2002.tb00116.x
Chhokar, J.S. and Wallin, J.A., 1985. Improving safety through applied behavior analysis. Journal of safety research, 15(4), pp.141-51. https://doi.org/10.1016/0022-4375(84)90045-8
Choudhry, R.M. and Fang, D., 2008. Why operatives engage in unsafe work behavior: Investigating factors on construction sites. Safety Science, 46(4), pp.566-84. https://doi.org/10.1016/j.ssci.2007.06.027
Choudhry, R.M., Fang, D. and Lingard, H., 2009. Measuring safety climate of a construction company. Journal of Construction Engineering and Management, 135(9), pp.890-9. https://doi.org/10.1061/(asce)co.1943-7862.0000063
Christian, M.S., Bradley, J.C., Wallace, J.C. and Burke, M.J., 2009. Workplace safety: a meta-analysis of the roles of person and situation factors. Journal of Applied Psychology, 94(5), p.1103. https://doi.org/10.1037/a0016172
Clarke, S., 2006. The relationship between safety climate and safety performance: a meta-analytic review. Journal of occupational health psychology, 11(4), p.315. https://doi.org/10.1037/1076-8998.11.4.315
Cooper, M.D. and Phillips, R.A., 2004. Exploratory analysis of the safety climate and safety behavior relationship. Journal of safety research, 35(5), pp.497-512. https://doi.org/10.1016/j.jsr.2004.08.004
DECC, 2012. The Green Deal and Energy Company Obligation: Government Response to the November 2011 Consultation. Department of Energy & Climate Change. UK: Department of Energy & Climate Change.
Dedobbeleer, N. and Béland, F., 1991. A safety climate measure for construction sites. Journal of safety research, 22(2), pp.97-103. https://doi.org/10.1016/0022-4375(91)90017-p
Dixon, T., 2014. Tomorrow’s World: Retrofitting UK Cities to 2050 [online] UK: UK Grreen Buildinfg Counsil. Available at: http://www.ukgbc.org/resources/blog/tomorrow%E2%80%99s-world-retrofitting-uk-cities-2050.
Fang, D., Chen, Y. and Wong, L., 2006. Safety climate in construction industry: A case study in Hong Kong. Journal of Construction Engineering and Management. https://doi.org/10.1061/(asce)0733-9364(2006)132:6(573)
Flin, R., Mearns, K., O’Connor, P. and Bryden, R., 2000. Measuring safety climate: identifying the common features. Safety Science, 34(1), pp.177-92. https://doi.org/10.1016/s0925-7535(00)00012-6
Glendon, A.I. and Litherland, D.K., 2001. Safety climate factors, group differences and safety behaviour in road construction. Safety Science, 39(3), pp.157-88. https://doi.org/10.1016/s0925-7535(01)00006-6
Gooding, L. and Gul, M.S., 2016. Energy efficiency retrofitting services supply chains: A review of evolving demands from housing policy. Energy Strategy Reviews, 11, pp.29-40. https://doi.org/10.1016/j.esr.2016.06.003
Gooding, L. and Gul, M.S., 2017. Achieving growth within the UK’s Domestic Energy Efficiency Retrofitting Services sector, practitioner experiences and strategies moving forward. Energy Policy, 105, pp.173-82. https://doi.org/10.1016/j.enpol.2017.02.042
Griffin, M.A. and Neal, A., 2000. Perceptions of safety at work: a framework for linking safety climate to safety performance, knowledge, and motivation. Journal of occupational health psychology, 5(3), p.347. https://doi.org/10.1037//1076-8998.5.3.347
Hair, J.F., Jr., Black, W.C., Babin, B.J. and Anderson, R.E., 2014a. Multivariate data analysis. Seventh, Pearson new international ed. Harlow: Pearson Education Limited.
Hair, J.F., Jr., Ringle, C.M. and Sarstedt, M., 2011. PLS-SEM: Indeed a silver bullet. Journal of Marketing theory and Practice, 19(2), pp.139-52. https://doi.org/10.2753/mtp1069-6679190202
Hair, J.F., Jr., Sarstedt, M., Hopkins, L. and G. Kuppelwieser, V., 2014b. Partial least squares structural equation modeling (PLS-SEM) An emerging tool in business research. European Business Review, 26(2), pp.106-21. https://doi.org/10.1108/ebr-10-2013-0128
Hanger, I., 2014. Report of the Royal Commission into the Home Insulation Program. Australian Government website http://www.homeinsulationroyalcommission.gov.au/Pages/default.aspx.
Henseler, J., Ringle, C.M. and Sarstedt, M., 2015. A new criterion for assessing discriminant validity in variance-based structural equation modeling. Academy of Marketing Science. Journal, 43(1), p.115. https://doi.org/10.1007/s11747-014-0403-8
Hinze, J., Thurman, S. and Wehle, A., 2013. Leading indicators of construction safety performance. Safety Science, 51(1), pp.23-8. https://doi.org/10.1016/j.ssci.2012.05.016
Hoaglin, D.C., Iglewicz, B. and Tukey, J.W., 1986. Performance of some resistant rules for outlier labeling. Journal of the American Statistical Association, 81(396), pp.991-9. https://doi.org/10.2307/2289073
Hofmann, D.A. and Morgeson, F.P., 1999. Safety-related behavior as a social exchange: The role of perceived organizational support and leader–member exchange. Journal of Applied Psychology, 84(2), p.286. https://doi.org/10.1037//0021-9010.84.2.286
Hon, C.K., Chan, A.P. and Wong, F.K., 2010. An analysis for the causes of accidents of repair, maintenance, alteration and addition works in Hong Kong. Safety Science, 48(7), pp.894-901. https://doi.org/10.1016/j.ssci.2010.03.013
Hon, C.K., Chan, A.P. and Yam, M.C., 2014. Relationships between safety climate and safety performance of building repair, maintenance, minor alteration, and addition (RMAA) works. Safety Science, 65, pp.10-9. https://doi.org/10.1016/j.ssci.2013.12.012
Hon, K.H., 2012. Relationships between safety climate and safety performance of repair, maintenance, minor alteration and addition (RMAA) works, The Hong Kong Polytechnic University. https://doi.org/10.1016/j.ssci.2013.12.012
Hough, D. and White, E., 2014. The Green Deal. UK Parliament :The House of Commons Library. UK: UK Parliament :The House of Commons Library.
Hu, X., Griffin, M.A. and Bertuleit, M., 2016. Modelling antecedents of safety compliance: Incorporating theory from the technological acceptance model. Safety Science, 87, pp.292-8. https://doi.org/10.1016/j.ssci.2015.12.018
Hwang, B.-G., Zhao, X. and Toh, L.P., 2014. Risk management in small construction projects in Singapore: Status, barriers and impact. International journal of project management, 32(1), pp.116-24. https://doi.org/10.1016/j.ijproman.2013.01.007
Jin, X., Meng, C., Wang, Q., Wei, J. and Zhang, L., 2014. A study of the green retrofit industry chain. Sustainable Cities and Society, 13, pp.143-7. https://doi.org/10.1016/j.scs.2014.05.009
Kines, P., 2017. NOSACQ-50 - Safety Climate Questionnaire [online] NRCWE: National Research Centre for the Working Environment Available at: http://www.arbejdsmiljoforskning.dk/en/publikationer/spoergeskemaer/nosacq-50 [Accessed 23.01.2017].
Kines, P., Lappalainen, J., Mikkelsen, K.L., Olsen, E., Pousette, A., Tharaldsen, J., Tómasson, K. and Törner, M., 2011. Nordic Safety Climate Questionnaire (NOSACQ-50): A new tool for diagnosing occupational safety climate. International Journal of Industrial Ergonomics, 41(6), pp.634-46. https://doi.org/10.1016/j.ergon.2011.08.004
Liao, H., Li, Y. and Brooks, G., 2016. Outlier Impact and Accommodation Methods: Multiple Comparisons of Type I Error Rates. Journal of Modern Applied Statistical Methods, 15(1), p.23. https://doi.org/10.22237/jmasm/1462076520
MCCa, 2015. 1200 BUILDINGS MELBOURNE RETROFIT SURVEY 2015.
Mohamed, S., 2002. Safety climate in construction site environments. Journal of Construction Engineering and Management, 128(5), pp.375-84. https://doi.org/10.1061/(asce)0733-9364(2002)128:5(375)
Nadhim, E.A., Hon, C.K. and Xia, B., 2016. Investigating the relationships between safety climate and safety performance of retrofitting works.
Neal, A. and Griffin, M.A., 2006. A study of the lagged relationships among safety climate, safety motivation, safety behavior, and accidents at the individual and group levels. Journal of Applied Psychology, 91(4), p.946. https://doi.org/10.1037/0021-9010.91.4.946
Neal, A., Griffin, M.A. and Hart, P.M., 2000. The impact of organizational climate on safety climate and individual behavior. Safety Science, 34(1), pp.99-109. https://doi.org/10.1016/s0925-7535(00)00008-4
Niskanen, T., 1994. Safety climate in the road administration. Safety Science, 17(4), pp.237-55. https://doi.org/10.1016/0925-7535(94)90026-4
Norušis, M.J., 1986. SPSS/PC+ for the IBM PC/XT/AT: Spss.
PACE, 2012. Property Assessed Clean Energy (PACE) Replication Guidance Package for Local Governments. US Depatrment of Energy. US: US Depatrment of Energy.
Palmisano, F. and Perilli, P., 2017. Two Recent Collapses in Historical Building Aggregates: Forensic Investigations and Lessons Learned. Journal of Performance of Constructed Facilities, p.04017016. https://doi.org/10.1061/(asce)cf.1943-5509.0001013
Podsakoff, P.M., MacKenzie, S.B., Lee, J.-Y. and Podsakoff, N.P., 2003. Common method biases in behavioral research: a critical review of the literature and recommended remedies. Journal of Applied Psychology, 88(5), p.879. https://doi.org/10.1037/0021-9010.88.5.879
Rasmussen, J., 1997. Risk management in a dynamic society: a modelling problem. Safety Science, 27(2-3), pp.183-213. https://doi.org/10.1016/s0925-7535(97)00052-0
Reason, J., 1995. A systems approach to organizational error. Ergonomics, 38(8), pp.1708-21. https://doi.org/10.1080/00140139508925221
Siu, O.-l., Phillips, D.R. and Leung, T.-w., 2004. Safety climate and safety performance among construction workers in Hong Kong: the role of psychological strains as mediators. Accident Analysis & Prevention, 36(3), pp.359-66. https://doi.org/10.1016/s0001-4575(03)00016-2
Stafford, D.A., Gorse, P.C. and Shao, P.L., 2011. the retrofit challenge Delivering Low Carbon Buildings.
SWA, 2015. Construction Industry Profile. Safe Work Australia. Australia: Safe Work Australia.
Voorhees, C.M., Brady, M.K., Calantone, R. and Ramirez, E., 2016. Discriminant validity testing in marketing: an analysis, causes for concern, and proposed remedies. Journal of the Academy of Marketing Science, 44(1), pp.119-34. https://doi.org/10.1007/s11747-015-0455-4
Wong, K.K.-K., 2013. Partial least squares structural equation modeling (PLS-SEM) techniques using SmartPLS. Marketing Bulletin, 24(1), pp.1-32.
Yosefi, Y., Jahangiri, M., Choobineh, A., Tabatabaei, S.H., Keshavarzi, S., Shams, A. and Mohammadi, Y., 2016. Validity Assessment of the Persian Version of the Nordic Safety Climate Questionnaire (NOSACQ-50): A Case Study in a Steel Company. Safety and Health at Work. https://doi.org/10.1016/j.shaw.2016.03.003
Zahoor, H., Chan, A.P., Utama, W.P., Gao, R. and Zafar, I., 2017. Modeling the relationship between safety climate and safety performance in a developing construction industry: a cross-cultural validation study. International journal of environmental research and public health, 14(4), p.351. https://doi.org/10.3390/ijerph14040351
Zhang, L., Liu, Q., Wu, X. and Skibniewski, M.J., 2016. Perceiving Interactions on Construction Safety Behaviors: Workers’ Perspective. Journal of Management in Engineering, p.04016012. https://doi.org/10.1061/(asce)me.1943-5479.0000454
Zijlstra, W.P., Van der Ark, L.A. and Sijtsma, K., 2013. Discordancy tests for outlier detection in multi-item questionnaires. Methodology. https://doi.org/10.1027/1614-2241/a000056
Zohar, D., 1980. Safety climate in industrial organizations: theoretical and applied implications. Journal of Applied Psychology, 65(1), pp.96-102. https://doi.org/10.1037//0021-9010.65.1.96
Zohar, D., 2003. Safety climate: Conceptual and measurement issues. Handbook of occupational health psychology, pp.123–42. https://doi.org/10.1037/10474-006
Zohar, D. and Luria, G., 2004. Climate as a social-cognitive construction of supervisory safety practices: scripts as proxy of behavior patterns. Journal of Applied Psychology, 89(2), p.322. https://doi.org/10.1037/0021-9010.89.2.322