BIM adoption within Australian Small and Medium-sized Enterprises (SMEs): an innovation diffusion model
M. Reza Hosseini1, Saeed Banihashemi2, Nicholas Chileshe3, Mehran Oraee Namzadi1, Chika Udaeja4, Raufdeen Rameezdeen3 and Tammy McCuen5
1 School of Architecture and Built Environment, Deakin University, Geelong, Australia
2 School of the Built Environment, University of Technology Sydney (UTS), Sydney, Australia
3 School of Natural and Built Environments, University of South Australia, Adelaide, Australia
4 School of the Built Environment, University of Salford, Salford, UK
5 College of Architecture, University of Oklahoma, Norman, Oklahoma, USA
Abstract
Despite the envisaged benefits of BIM adoption for SMEs, BIM in SMEs has remained an underrepresented area within the available academic literature. This study proposes and draws upon a framework grounded on innovation diffusion theory (IDT) to provide an illuminating insight into the current state of BIM and the main barriers to BIM adoption within Australian SMEs. Based on analyses of 135 questionnaires completed by SMEs through partial least squares structural equation modelling (PLS-SEM) and grounded on the proposed framework, the current state of BIM adoption and barriers to BIM adoption for SMEs are discussed. The findings show that currently around 42% of Australian SMEs use BIM in Level 1 and Level 2 with only around 5% have tried Level 3. It comes to light that lack of knowledge within SMEs and across the construction supply chain is not a major barrier for Australian SMEs. In essence, the main barriers stem from the risks associated with an uncertain return on investment (ROI) for BIM as perceived by key players in SMEs. The findings also show the validity of the framework proposed for explaining BIM adoption in Australian SMEs.
Keywords: Building information modelling (BIM), SMEs, Construction industry, Innovation diffusion, Australia.
Paper type: Research article
Copyright: Construction Economics and Building 2016. © 2016 M. Reza Hosseini, Saeed Banihashemi, Nicholas Chileshe, Mehran Oraee Namzadi, Chika Udeaja, Raufdeen Rameezdeen and Tammy McCuen. This is an Open Access article distributed under the terms of the Creative Commons Attribution 4.0 Unported (CC BY 4.0) License (https://creativecommons.org/licenses/by/4.0/), allowing third parties to copy and redistribute the material in any medium or format and to remix, transform, and build upon the material for any purpose, even commercially, provided the original work is properly cited and states its license.
Citation: Hosseini, M.R., Banihashemi, S, Chileshe, N., Namzadi, M.O., Udeaja, C., Rameezdeen, R and McCuen, T. 2016. BIM adoption within Australian Small and Medium-sized Enterprises (SMEs): an innovation diffusion model, Construction Economics and Building, 16(3), 71-86. DOI: http://dx.doi.org/10.5130/AJCEB.v16i3.5159
Corresponding author: Nicholas Chileshe; Email – Nicholas.Chileshe@unisa.edu.au
Publisher: University of Technology Sydney (UTS) ePress
Introduction
Building Information Modelling (BIM) has enjoyed a progressive emergence over the last ten years due to a wide range of benefits envisaged for implementing BIM methodology on construction projects (Cao et al., 2016). Despite the great advantages, use of BIM within the construction industry is in its infancy stage (Manderson, Jefferies and Brewer, 2015). Adoption for the construction context refers to the stage in which the decision to use a new system or idea is made by contracting organisations and professional practices (Winch, 1998). As described by Davies and Harty (2013) firms adopt BIM and accordingly implement it on their projects. Evidence shows that a large number of construction firms are still in the pre-adoption stage (Cao et al., 2016). In order to leverage the potential of BIM, therefore, it becomes essential to develop a robust understanding of the nature of the barriers that cause project participants shy away from BIM adoption on their projects (Cao et al., 2016; Forsythe, 2014).
Low BIM adoption is seen as an issue in small businesses (Forsythe, 2014), yet available studies on BIM adoption have for the most part focused on large-sized companies and large-scale ambitious projects (Rodgers et al., 2015). Therefore, barriers to BIM adoption within SMEs have remained underrepresented in the existing literature (Poirier, Staub-French and Forgues, 2015a), particularly within the Australian context (Forsythe, 2014). Despite such scant attention devoted to BIM in SMEs, this area is of outmost importance for the Australian construction industry in view of the fact that “…smaller firms will continue to dominate the construction industry landscape far into the future.” (Shelton, Martek and Chen, 2016, p.180).
This study is intended to address this gap in the body of the knowledge. To this end, the present study intends to identify and evaluate the relative strength of the barriers, which cause Australian SMEs retreat from adoption of BIM on their projects. These barriers have to be delineated in view of the networked nature of the construction industry (Davies and Harty, 2013). Hence, the study presents the identified barriers in form of a model, taking into account the influence of the dynamics within the project, organisation and the supply chain contexts.
Theoretical points of departure
Recent studies on BIM adoption have confirmed that BIM adoption in the construction context is closely aligned with innovation adoption process (Hosseini et al., 2015). BIM has been conceptualised as a technological innovation in a number of recent studies (Brewer and Gajendran, 2012; Cao, Li and Wang, 2014; Poirier, Staub-French and Forgues, 2015a). Even more, dealing with BIM adoption through the lenses of innovation adoption is recommended as the most effective approach for exploring BIM adoption in construction companies (Murphy, 2014). Therefore, the innovation diffusion theory (IDT) is well-situated for framing research questions pertaining to the processes of adoption of BIM in construction organisations (Cao, Li and Wang, 2014; Davies and Harty, 2013; Gledson and Wardleworth, 2016). As such, conducting the present study is directed by IDT chosen as the theoretical points of departure.
For the construction context, Slaughter (1998) described an innovation as the actual use of a non-trivial alteration in terms of an enhancement in a system or working procedure that is new to the corresponding organisation. The process yielding the use of an innovation in a construction company is comprised of two succeeding stages. These are diffusion and implementation with adoption being the interface between these two (Winch, 1998). Innovation diffusion process is defined as the process through which an innovation “is communicated through certain channels over time among the members of a social system” (Rogers, 2010, p.5). A large number of inter- and intra-organisational factors affect this process as drivers and barriers. IDT explains the factors, their origin, context and envisaged potential impacts on all stages of diffusion of an innovation (Slaughter, 1998) as will be discussed in formulating the theoretical model of the study.
Background
Small and Medium-sized Enterprises (SMEs)
Different regions and countries around the world have offered various definitions for the term “SMEs” with the number of employees being the major measure to determine size for construction firms (Acar et al., 2005). Given this context, Table 1 demonstrates a summary of available definitions for SMEs across several countries. In Australia, according to the definition for SMEs proposed by SME Association of Australia (SMEAA, 2011) a micro business is defined as having less than 4 employees and a small business has between 5 and 20 employees. A medium-sized company is specified via its range of employees between 20 up to 200 people. In line with this definition, SMEs in Australia represent around 98% of the construction sector, with similar percentages applicable to other countries including the US, the UK (Forsythe, 2014) and Canada (Poirier, Staub-French and Forgues, 2015a).
| Country | Number of employees | Annual turnover | Source |
| Australia | 0 < Micro < 4 | N/A | (SMEAA, 2011) |
| 5 < Small < 20 | |||
| 21< Medium < 200 | |||
| New Zealand | Fewer than 20 full time employees | N/A | (Miller et al., 2013) |
| USA | Small < 99 | N/A | (USCB, 2016) |
| 100 < Medium < 499 | |||
| Canada | Small < 99 | Small < $1 million | |
| 100 < Medium < 499 | $1 million < Medium < $5 million | (Gibson, Rispoli and Leung, 2011; Seens, 2015) |
SMEs play a crucial role in fostering a prosperous economic and social structure in Australia (Shelton, Martek and Chen, 2016; SMEAA, 2011). Yet, SMEs are limited in maintaining their competitive edge due to a lack of incentives in taking advantage from sufficient human resources; an element that is the key asset in the construction context (Saridakis, Muñoz Torres and Johnstone, 2013). It is widely believed in construction literature that SMEs are typically lagging behind large-sized firms in embracing innovation and technological advancements (Acar et al., 2005; Bröchner and Lagerqvist, 2016; Shelton, Martek and Chen, 2016). This is similarly the case for BIM (Forsythe, 2014; McGraw Hill, 2014; Poirier, Staub-French and Forgues, 2015a) due to a number of barriers as discussed next.
Barriers to BIM adoption
It is believed that implementing BIM is the remedial solution for a wide range of deficiencies affecting the construction industry (Manderson, Jefferies and Brewer, 2015; Poirier, Staub-French and Forgues, 2015b). The benefits include coordinating the project process, reducing the number of errors and clashes, preventing reworks, improving logistics and supply chain systems and delivering precise project information (Demian and Walters, 2014; Gledson and Wardleworth, 2016; McGraw Hill, 2014; Mignone et al., 2016). In addition, visualisation of project information via 3D, 4D and 5D modelling capabilities enhances the quality of communications on projects (McGraw Hill, 2014; Stanley and Thurnell, 2014). Considering the small size of projects handled by SMEs, implementing BIM in SMEs could be highly advantageous resulting in noticeable productivity gains (Poirier, Staub-French and Forgues, 2015a; Poirier, Staub-French and Forgues, 2015b; Rodgers et al., 2015). That is because, smaller groups of project participants and shorter project duration offer vast opportunities for reaping the benefits of BIM (Engineers Australia, 2014) and possible swift organisational changes (Arayici et al., 2011). Despite these advantages, level of BIM adoption in construction companies is still low (Cao et al., 2016; Manderson, Jefferies and Brewer, 2015). A number of barriers as illustrated in Table 2 have been identified as the main causes of such low adoption across the construction industry.
| Barriers | Reference |
| Lack of knowledge and awareness | (Bin Zakaria et al., 2013; Gerrard et al., 2010; Khosrowshahi and Arayici, 2012) |
| Lack of support from policy makers | (Abubakar et al., 2014; Bin Zakaria et al., 2013) |
| Unavailability of standards and guidelines | (Azhar, Khalfan and Maqsood, 2015; Bin Zakaria et al., 2013; Chan, 2014; Manderson, Jefferies and Brewer, 2015) |
| Initial costs | (Abubakar et al., 2014; Azhar, Khalfan and Maqsood, 2015; Forsythe, 2014; Gerrard et al., 2010; Khosrowshahi and Arayici, 2012; Rodgers et al., 2015) |
| Training and learning issues | (Abubakar et al., 2014; Azhar, Khalfan and Maqsood, 2015; Chan, 2014) |
| Incompatibility and interoperability problems | (Azhar, Khalfan and Maqsood, 2015; Manderson, Jefferies and Brewer, 2015; Rodgers et al., 2015) |
| Lack of demand | (Azhar, Khalfan and Maqsood, 2015; Chan, 2014; Khosrowshahi and Arayici, 2012; Poirier, Staub-French and Forgues, 2015a; Rodgers et al., 2015) |
| Lack of skilled personnel | (Azhar, Khalfan and Maqsood, 2015; Chan, 2014; Gerrard et al., 2010; Rodgers et al., 2015) |
| Resistance to change | (Abubakar et al., 2014; Azhar, Khalfan and Maqsood, 2015; Forsythe, 2014; Gerrard et al., 2010; Khosrowshahi and Arayici, 2012; Poirier, Staub-French and Forgues, 2015a; Rodgers et al., 2015) |
Nevertheless, while large-size firms benefit from advanced levels of implementing BIM as compared to SMEs, the study by Aranda-Mena et al. (2009) in Australia and Hong Kong indicates that BIM adoption features in SMEs differ from large-size firms. Such discrepancy in adoption has been traced to the barriers inherent to SMEs. In essence, in view of limited resources available for SMEs, implementing BIM justified by anecdotal evidence represents considerable risks (Poirier, Staub-French and Forgues, 2015b). Wood, Davis and Olatunji (2011) revealed that different organisational structures of SMEs require different skills, training and equipment for BIM implementation. It was further identified that the cost of BIM implementation in SMEs are higher than that of in their large counterparts due to the demerits of software acquisitions. By the same token, the report of McGraw Hill (2014) on business benefits of BIM in Australia and New Zealand shows that SMEs are “relatively new to the use of BIM” where design firms are in the upper levels of BIM utilisation in comparison with contractors. The report also indicates that BIM implementation rate for SMEs in Australia is lower than large-sized enterprises, without providing clear reasons to justify such observation.
Theoretical model
In light of having IDT as the theoretical background of the study, barriers identified in the literature were extracted from the sources as illustrated in Table 2. As surmised by Poirier, Staub-French and Forgues (2015a) key factors affecting adoption of BIM within SMEs belong to four different yet embedded contexts of innovation adoption. These are industry, institutional, organisational and project contexts according to the model proposed by Poirier, Staub-French and Forgues (2015a) to explore the factors influencing BIM adoption in accordance with the innovation diffusion process. Each of these four contexts exerts its influence on BIM adoption by introducing explicit effects. Barriers in the industry context represent the barriers stemmed from the location, market, lack of demand from clients, owners, general contractors and proximity to markets in which BIM is flourishing. The institutional context refers to the policies, practices, knowledge and procedures implemented by various parties involved in the construction supply chain surrounding the organisation. The organisational context covers intentions, support and commitments of management and personnel with regard to BIM adoption, strategic objectives, resource allocation and addressing training needs. The factors in the project context category are related to project and contractual requirements and members’ perceptions with regard to BIM.
Poirier, Staub-French and Forgues (2015a) also recognised the associations between these categories asserting that institutional and industry contexts affect organisational context where there is a causal link between organisational context and project context. By the same token, Hosseini et al. (2015) suggested that when it comes to the factors affecting innovation adoption, industry and institution factors influence organisational factors and organisational ones manipulate project level factors. In view of the discussions above, the theoretical model of the study was developed as the model illustrated in Figure 1. It should be mentioned that the framework provided by Poirier, Staub-French and Forgues (2015a) was modified. That was because, the embedded contexts of industry and institutional, virtually covered the whole supply chain affecting the organisation, thus were merged into one single embedded context titled as Supply Chain. As a result, the theoretical model of the study was based on three categories of barriers. These were (1) Supply Chain barriers (industry and institutional), (2) Organisational and (3) Project barriers as illustrated in Figure 1.

Figure 1: Theoretical model of the study
Research method
A quantitative approach was chosen as the primary methodology for the study in view of the defined objectives of the study. That was because, quantitative methods enable researchers to collect data on perceptions and attitudes of a wide range of respondents, and thus the findings become applicable to a population (Neuman, 2006). It is an acceptable practice to adapt survey instruments previously used by available studies (Creswell, 2009). The questionnaire for the present study was based on the questionnaire deployed for South Australian SMEs by Rodgers et al. (2015). An exhaustive review of literature on barriers to BIM adoption was also conducted to complement the questionnaire. The preliminary questionnaire was presented to seven SMEs directors each with more than 12 years of experience on construction projects in Australia. The project managers approved the questionnaire, with their suggestions incorporated in designing the final version of the questionnaire. Subsequently, a number of terms were revised, 3 questions were merged and 2 questions, which were deemed confusing and leading, were removed. Key terms such as BIM and levels of BIM adoption were explained and defined using professional expressions rather than academic terms. The rationale in submitting the questionnaire to the project managers was the recommendations by Forza (2002) stating that industry experts should be involved in the pre-testing of the questionnaire.
The first section of the questionnaire included a clarification on the overarching aims of the research study and covered questions to identify the demographic attributes of respondents, whereas the second section included statements describing the barriers, which make construction practitioners shy away from BIM adoption within SMEs. In line with the recommendation by Holt (2014) for identifying the relative importance of a set of variables, respondents were asked to rate their level of agreement with regard to the influence of each of described barriers in form of a five-point Likert-scale (1 = strongly disagree, 2 = disagree, 3 = neutral, 4 = agree, and 5 = strongly agree).
Data analysis
Where the objectives indicate investigating the associations between variables and the strength of variables in affecting a construct, Structural Equation Modelling (SEM) could be an effective method. SEM could be deployed for conducting multivariate regression in confirmatory and exploratory studies (Kline, 2011). Using SEM, researchers can examine the strength of relationships in order to prioritise resources for the most important variables to better serve management purposes. The fact that unobserved variables (constructs that are not directly measurable) can be included in such analyses makes SEM an ideal tool for business and management research studies (Wong, 2013). There are two broad methods of conducting SEM being covariance-based (CB-SEM) and partial least squares (PLS-SEM) (Hair et al., 2014). The selection of the most appropriate method is contingent upon the objectives of the study and the nature of the collected data. Given the relatively small sample size of this study, novelty of the conceptual model and capability to handle variables with non-normal distributions, PLS-SEM was considered as the most appropriate SEM method according to the recommendations proposed by Wong (2013) and Hair et al. (2014). SmartPLS (http://www.smartpls.de/) was utilised as the package for conducting the analyses according to the guidelines and instruction provided by Hair et al. (2014).
Sampling
Construction related companies (contractors, architecture and design companies) active within the Australian context were targeted as the population of interest for the survey. Data collection through targeting clusters of population of interest or “cluster sampling” as termed by Neuman (2006) is appropriate for administration of questionnaires where the population is in a wide geographic area such as a country. As such, a list of architects, design firms and contractors was prepared arbitrarily (downloaded from available websites and collated from yellow pages). A total of 1365 (712 architects and 653 contractors) questionnaires were sent by post as well as email to directors of these companies from which 149 duly completed questionnaires returned. Data collection started in October 2015 and finalised in February 2016.
The adequacy of the sample size was assessed utilising the instructions provided by Hair et al. (2014) for utilising PLS-SEM. For a commonly-used level of statistical power (80%), significance of 5% and maximum number of 6 arrows pointing to a latent variable a minimum of 75 cases is adequate for a minimum R2 values of 0.25 (Hair et al., 2014, p.21). As will be discussed, the largest number of arrows in the model pointing to a latent variable was 6. Hence, the number of cases (149) was well above the minimum required sample size.
Findings of the study
Profile of respondents
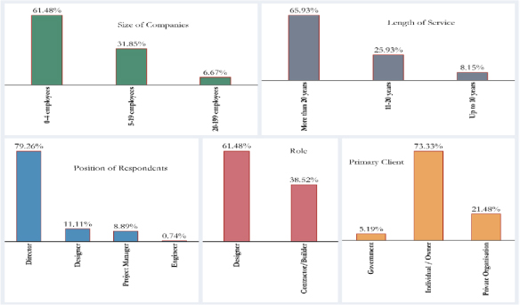
The findings showed that out of 149 collected responses 10 (6.7%) came from large-sized companies. These questionnaires were omitted from the dataset. Besides, 4 questionaries came from companies active as suppliers of building materials, which were not deemed relevant to BIM adoption. These were not included in the analyses of findings. Therefore, the final sample comprised of 135 SMEs as summarised in Figure 2.

Figure 2: Profile of companies participating in the sample
The findings in Figure 2 present a picture of the demographics of Australian SMEs participating in the study. As far as size is concerned, around 93% were micro and small businesses where medium sized companies made up below 7% of SMEs. Additionally, above 73% of clients for SMEs were owners and individuals exposing the predominant typography of clients when dealing with SMEs.
From another perspective, the profile of the sample as illustrated in Figure 2 attested to the adequate knowledge of respondents to answer the questions on BIM adoption. That was because, around 92% of companies had a history of service of more than 11 years in the industry while around 88% were directors and project managers of companies. Thus, respondents were key decision makers in SMEs with direct awareness of policies of companies with regard to adoption of BIM.
Current state of BIM within Australian SMEs
The current state of BIM within Australian SMEs as revealed through the sample is illustrated in Table 3. The findings show that majority of companies (around 58%) have had no engagement with BIM in delivering their businesses (non-adopters in Table 3). As for the adopters, majority (23.7%) only had implemented Level 1 with 8.1% and 5.2% had used Level 2 and Level 3 accordingly. This revealed that SMEs with an experience of BIM beyond Level 1 make up around 13% of small companies within the Australian construction industry.
| Adoption/Implementation Level | Adopters | Total | Non-adopters | Total | |||
| Highest Level of Implementation* | |||||||
| Level 0 | Level 1 | Level 2 | Level 3 | ||||
| Count | 7 | 32 | 11 | 7 | 57 | 78 | 135 |
| Percentage | 5.2% | 23.7% | 8.1% | 5.2% | 42.2% | 57.8% | 100.0% |
*Note: Level 0: Unmanaged CAD in 2D documentations with paper or electronic data exchange: This is a 2D representation focused on the detailing and linear documentation. Level 1: Managed CAD in 2D or 3D format to present design through a collaborative tool and a common data environment. Level 2: Managed 3D format through individual BIM platform and software tools with data attached including 4D (Time) and/or 5D (Cost) data. Level 3: A fully integrated and collaborative real-time project model facilitated by IT and web services.
Model analysis
The final list of barriers as the outcome of review of literature (see Table 2) and revisions through conducting interviews with the seven experts is illustrated in Table 4. Furthermore, considering the associations and influences for the three contexts, barriers associated with each context were modelled as the reflective indicators (manifest variables) where each context was regarded as a latent variable reflecting its associated manifest variables. A preliminary SEM model as illustrated in Figure 3 was developed using the graphical interface of SmartPLS. This reflected the theoretical model of the study (Figure 1) to be tested via being exposed to the collected data. The reflective view is the dominant approach in management sciences as articulated by Coltman et al. (2008), hence the model was specified with reflective indicators.
| No | ID | Description | Embedded context (innovation diffusion process) |
| 1 | Sup01 | Our clients are not interested in using BIM on their building projects | Supply Chain |
| 2 | Sup02 | Our clients do not have sufficient knowledge about BIM and its benefits | Supply Chain |
| 3 | Sup03 | Sub-Contractors are not interested in using BIM | Supply Chain |
| 4 | Sup04 | Sub-Contractors do not have enough knowledge and expertise in BIM | Supply Chain |
| 5 | Sup05 | There is no official standard for adopting and using BIM on building projects | Supply Chain |
| 6 | Org01 | The current technologies we are using are enough, so we don’t need BIM | Organisational |
| 7 | Org02 | Our firm is reluctant to adopt BIM because we don’t know how to adopt BIM | Organisational |
| 8 | Org03 | Our firm does not have the skills and expertise for BIM adoption | Organisational |
| 9 | Org04 | There is a significant BIM implementation cost to our firm | Organisational |
| 10 | Org05 | The cost of BIM training is significant to our firm | Organisational |
| 11 | Org06 | Our firm believes that it takes too much organisational efforts to adopt BIM | Organisational |
| 12 | Pro01 | There is no or low benefits in adopting BIM on our building projects | Project |
| 13 | Pro02 | BIM is not suitable for our building projects | Project |

Figure 3: Initial model of the study
The instrument was modified and collated from previous studies, thus conducting an exploratory factor analysis (EFA) is deemed essential to establish the validity and reliability of the instrument. While testing the instrument and scales is achievable through conducting EFA, an advantage of PLS-SEM is that it includes confirmatory factor analysis (CFA), which is considered a superior approach to scale development (Hair, 2010). PLS-SEM based model analysis provides a more precise evaluation of reliability and validity of measurement scales in the instrument (Astrachan, Patel and Wanzenried, 2014). As described below, this is the initial stage of conducting a PLS-SEM analysis.
Measurement model
The first stage of analysis starts with evaluating the measurement models deploying PLS algorithm with the number of iterations set at 300. In case the algorithm cannot converge at 300 iterations, a stable solution could not be expected with the specified model and the submitted data. The algorithm for the specified model converged with 11 iterations. As illustrated in Figure 3, Org02 had a loading below 0.4 (highlighted in red) and had to be removed from the model as recommended by Hair et al. (2014). All other indicators had loadings above 0.4 and were retained for the next stage (assessment of the measurement models).
As asserted by Hair et al. (2014), assessment of the measurement models (associations between latent variables and indicators) should include estimating: (1) the internal consistency reliability (composite reliability), (2) convergent validity (average variance extracted (AVE)), (3) reliability of individual indicators (high significant outer loadings) and (4) discriminant validity (cross loadings and Fornell-Larcker criteria). Table 5 illustrates the results and the cut-off points to assess the quality of the measurement models.
As illustrated in Table 5, all composite reliability measures were within the satisfactory level, while AVEs for Organisational and Supply Chain constructs were below 0.50. Hence, indicators in the model were literally measuring error rather than these two constructs (Hair et al., 2014). To revise the model, unreliable indicators have to be identified and omitted from the model. To identify unreliable indicators, two criteria should be assessed. These are: (1) the outer loading of each indicator on its associated construct should be higher than its loadings on other constructs in the model, and (2) according to Fornell-Larcker criteria, the square root of AVE of each construct should be higher than its highest correlation with any other construct. Cross-loadings as illustrated in Table 6 indicated that outer loading of Org01 on Organisational construct was lower than that of the Project. Consequently, Org01 was removed from the model (see Figure 3).
Running the revised model after removing Org01 and Orge02 showed satisfactory results with an exception being the AVE for Supply Chain (0.485 < 0.50). In case removal of any indicator with an outer loading below 0.7 increases the AVE of its associated construct, indicator has to be omitted from the model (Hair et al., 2014). As illustrated in Figure 3, Sup02 had a loading below 0.7. Removal of Sup02 from the model resolved the issue by increasing AVE to 0.542. Table 7 summarises the results of assessing the measurement models for the barriers in three embedded contexts and provides support for the validity and reliability of the revised model. As such, Org01, Org02 and Sup02 (see Table 4) were not assessed as reliable indicators and had to be removed from the initial model. These three indicators for the most part were reflective of knowledge aspects of BIM within the supply chain of the construction industry and in the organisation of SMEs. As such, features associated with lack of knowledge of BIM were not found to be influential barriers to BIM adoption within Australian SMEs.
| Embedded contexts | Barriers | Loadings | Indicator Reliability | Composite Reliability | AVE | Discriminant Validity |
| Supply Chain | Sup01 | .749 | 0.561 | .826 | .542 | Fornell-Larcker criteria* met |
| Sup03 | .775 | 0.601 | ||||
| Sup04 | .746 | 0.557 | ||||
| Sup05 | .674 | 0.454 | ||||
| Organisational | Org03 | .419 | 0.176 | .833 | .570 | Fornell-Larcker criteria met |
| Org04 | .856 | 0.733 | ||||
| Org05 | .872 | 0.760 | ||||
| Org06 | .782 | 0.612 | ||||
| Project | Pro01 | .906 | 0.821 | .877 | 782 | Fornell-Larcker criteria met |
| Pro02 | .861 | 0.741 |
*Note: Fornell-Larcker criteria is the most conservative measure to assess discriminant validity (Hair et al., 2014)
The satisfactory outcomes in analysing the measurement models provide justification for interpretation of the measurement model. That is, the three constructs included in the model are reliable in view of their associated indicators and their inclusion in the model is justified. The values of loadings in a valid measurement model could be used to interpret the strength and level of importance of indicators in affecting their underlying constructs (Hair et al., 2014). As a result, as inferred from Table 7 the most influential barrier in the supply chain context was Sup03 (Sub-Contractors are not interested in using BIM). This indicates that lack of interest from subcontractors and trades within the construction supply chain (as key stakeholders) makes SMEs shy away from adopting BIM. The barrier with the lowest level of influence was Sup05 (There is no official standard for adopting and using BIM on building projects), which also corroborated the interpretation with regard to negligible influence of lack of knowledge within Australian SMEs with regard to BIM. That is, lack of standards (sources of knowledge and instruction) was the barrier with the lowest level of influence for SMEs.
Level of influence of barriers within the organisation were noticeably different (see Table 7). Org05 and Org04 were by far more influential than other barriers. This revealed that negative perceptions about costs of BIM implementation within the organisation of SMEs are seen as highly influential barriers. On the other hand, Org03 (Our firm does not have the skills and expertise for BIM adoption) acknowledged the low impacts of lack of knowledge as a barrier impeding adoption of BIM within Australian SMEs. In fact, SMEs do not perceive various aspects of lack of knowledge within the supply chain or in the organisation as influential barriers. The two barriers in the project level had loadings well above (0.7), thus were strong reflectors of their underlying construct. Yet, as inferred from Table 7, Pro01 (There is no or low benefits in adopting BIM on our building projects) was the most influential barrier implying the conservative viewpoints within Australian SMEs regarding the benefits of using BIM on their projects. In essence, the barriers in Project context show the common belief among SMEs in Australia denoting that BIM is not beneficial enough for their projects.
Structural model
The next step after assessing the measurement models would be to investigate if the structural model supports the validity of the theoretical model of the study in exposure to the data collected from the field. Analysis of the structural model will define whether associations of constructs in the model are supported by empirical data and if model’s predictive capability is acceptable. To this end, a number of measures should be assessed. As there is only one exogenous construct for endogenous constructs, the problem of collinearity does not apply to the model. Yet, significance of path coefficients, level of R2 effect sizes (f2 ) alongside predictive relevance (Q2 ) were to be assessed in line with the instructions provided by Hair et al. (2014). To assess the significance of path coefficients, bootstrapping should be used with a minimum of 5000 valid observations. Figure 4 illustrates the results of running the bootstrapping with numbers on the arrows showing the loadings alongside t-values. The critical value for a two-tailed test is 1.96 (significant level = 5%). All relationships within the revised model had t-values well above 1.96, thus were regarded as significant associations.

Figure 4: Revised model for barriers to BIM adoption
Values of R2 for endogenous constructs show the percentage of variance explained by the exogenous latent variables in the structural model. The findings showed that Organisational and Project had R2 values of (.235) and (.103). R2 values provide useful measures when several exogenous constructs are involved. As each of endogenous constructs had only one exogenous construct, f2 values could provide a more accurate estimate of the level of contribution of an exogenous construct on the endogenous one. The f2 values for Supply Chain and Organisational were (.307) and (.115) respectively. According to Hair et al. (2014) such a range of values indicates large and medium contribution of exogenous variables on the endogenous ones. As such, supply chain barriers are large contributors to barriers in the organisation, yet the contribution of barriers within the Organisational context on Project is medium. Running blindfolding (omission distance D=8) resulted in Q2 values equal to 0.114 for the Organisational construct and 0.064 for the Project. As asserted by Hair et al. (2014), a Q2 value above zero indicates the model has predictive relevance for the endogenous constructs. This acknowledged the validity of the theoretical model in explaining the associations between the embedded contexts of barriers.
Discussion of the findings
Current state of BIM in Australian SMEs
The findings of the study present a picture of the current state of BIM within Australian SMEs, which shows some discrepancy with findings of similar studies. The level of BIM engagement within SMEs in the present study (42%) is close to the recent estimation by Rodgers et al. (2015) in South Australia who claimed that around 45% of SMEs have been involved in BIM. Yet, the findings show a different feature compared against the studies conducted around 2010 within the Australian context. That is, while the findings of the present study show that around 42% of SMEs have been engaged in BIM, the study by Gerrard et al. (2010) estimated an overall engagement of 25% within the construction industry, which is much lower than the figures revealed here. Such gap observed between adoption figures, indicates how fast-moving BIM is within the Australian construction industry and reveals the successful attempts of Australian SMEs to keep up with BIM trend as pointed out by Rodgers et al. (2015). The findings also indicate that the immaturity of BIM implementation is still a problem within Australian SMEs. That is, close to 5% of SMEs had used Level 3 and 8% had utilised Level 2 BIM on their projects. This shows that implementing an integrated BIM with a satisfactory level of collaboration among stakeholders has remained a distant target for Australian SMEs as pointed out by Forsythe (2014) and Gerrard et al. (2010).
As a result, the findings show an updated picture of the status quo of Australian SMEs with regard to their engagement with BIM, which enables researchers to identify the trend in comparing the findings with observations reflected in previous studies.
Barriers to BIM adoption for Australian SMEs
Exposing the model developed for the study to the data revealed that lack of knowledge and awareness on BIM is not an influential barrier to BIM adoption for Australian SMEs anymore. Hence, there is an obvious contradiction with the findings of previous studies, which have pointed to the lack of knowledge and expertise on BIM as major barriers towards BIM adoption within the UK construction industry (Khosrowshahi and Arayici, 2012) as well as the Australian context (Gerrard et al., 2010; Rodgers et al., 2015). This similarly challenges the common belief with regard to the typical failure of SMEs in managing knowledge on an innovation where they are interested in adoption of the innovation (Poirier, Staub-French and Forgues, 2015a; Shelton, Martek and Chen, 2016).
The main barriers identified across the three contexts were stemmed from the lack of interest from parties involved in the construction supply chain alongside the negative perceptions about the large amount of effort and expenses to be allocated for adoption of BIM within SMEs. In essence, the main barrier could be interpreted as the lack of interest of SMEs to accept the risks associated with the return on investment (ROI) of BIM. This is fathomable as the level of BIM engagement is directly associated with the perception of decision makers about the ROI they receive on their investments and allocated resources (McGraw Hill, 2014). For SMEs struggling to survive in the market, taking such risks is beyond their acceptable level. In essence, SMEs inherently have a tendency to adopt reliable methods with guaranteed ROI, which are previously-verified (Poirier, Staub-French and Forgues, 2015a). Lack of interest from parties across the supply chain was also an influential barrier. This refereed to a lack of interest from clients on the higher end of the supply chain as well as the parties working for SMEs including sub-contractors, which are the “weakest link in the supply chain” when it comes to BIM adoption (Forsythe, 2014). Policy makers and BIM advocates have to focus their efforts on these two groups to promote BIM within SMEs.
The findings of the study validated the model proposed for BIM adoption by Poirier, Staub-French and Forgues (2015a). As such, factors affecting BIM adoption belong to different embedded contexts according to the process of innovation diffusion with factors in each context affecting other contexts. Yet, the findings showed a weak contribution between the Organizational context and Project context where the contribution of Industry context to the Organisational context was strong. The impacts of the business environment, competitors in the market and partners in the supply chain are established according to the innovation diffusion theory (Hosseini et al., 2015). The low contribution of Organisational context on Project can be justified in view a lack of long-term organisational strategy (or even a lack of organisational structure) for SMEs (Poirier, Staub-French and Forgues, 2015a). This reveals another serious problem affecting SMEs and the whole construction industry in Australia in the journey towards higher levels of BIM use.
Conclusion
This study reported the findings of a research project, which adopted a questionnaire survey targeting SMEs within the Australian construction industry. As the first quantitative study focused on SMEs within the national Australian context, the findings of the present study provides a current insight into the state of BIM within SMEs in Australia in several ways. First, it becomes clear that the rate of BIM adoption in SMEs is fast and acknowledges the success of SMEs in adopting BIM judging from the comparison of the adoption rates as discussed in the present study with the findings of studies conducted around 6 years ago. Findings of the present study also revealed original views related to the barriers hindering BIM adoption for Australian SMEs. As a startling insight, the study brought to light that lack of knowledge is no more an influential barrier to BIM adoption within Australian SMEs. In fact, the main barriers are all stemmed from a lack of evidence that approves the advantages of BIM for small-sized projects. In absence of sufficient proof, BIM adoption is seen too risky in view of the limited resources available for small businesses.
Above all, the study goes beyond the existing body of the knowledge by offering a model for BIM adoption barriers for Australian SMEs inspired by information diffusion theory (IDT). As the first in its kind, the model quantifies the relative importance of the contexts in which barriers to BIM adoption are embedded. This disclosed the weak contribution of the Organisational context to Project context with regard to barriers to BIM adoption. This novel insight indicates that in order to enhance BIM adoption within Australian SMEs, the main context to be targeted is the supply chain rather than attempting to alter the organisational context strategies and polices.
Despite the contributions, the findings of the study should be applied in view of a number of limitations. That is, the findings are reflective of Australian SMEs perceptions with a majority of respondents being micro companies. Therefore, direct use of the findings for other countries and for medium-sized companies should be treated with caution. Nevertheless, this provides a number of fertile grounds for research. These include validating the findings in other contexts and countries with larger samples and larger companies. Besides, the findings are for the most part reflective of the viewpoints of contractors and design companies. Future inquiries should target clients and large-sized companies working with SMEs to provide an insight into the area from a different vantage point. On top of that, providing remedial solutions to the key barriers identified in the present study would add great value to the body of the knowledge as another lucrative area for future research studies.
References
Abubakar, M., Ibrahim, Y., Kado, D. and Bala, K., 2014. Contractors’ Perception of the Factors Affecting Building Information Modelling (BIM) Adoption in the Nigerian Construction Industry. In: International Conference on Computing in Civil and Building Engineering. Orlando, Florida, United States, June 23-25. doi: http://dx.doi.org/10.1061/9780784413616.022
Acar, E., Koçak, I., Sey, Y. and Arditi, D., 2005. Use of information and communication technologies by small and medium‐sized enterprises (SMEs) in building construction. Construction Management and Economics, 23(7), pp.713-22. doi: http://dx.doi.org/10.1080/01446190500127112
Aranda-Mena, G., Crawford, J., Chevez, A. and Froese, T., 2009. Building information modelling demystified: does it make business sense to adopt BIM? International Journal of Managing Projects in Business, 2(3), pp.419-34. doi: http://dx.doi.org/10.1108/17538370910971063
Arayici, Y., Coates, P., Koskela, L., Kagioglou, M., Usher, C. and O’Reilly, K., 2011. BIM adoption and implementation for architectural practices. Structural Survey, 29(1), pp.7-25. doi: http://dx.doi.org/10.1108/02630801111118377
Astrachan, C.B., Patel, V.K. and Wanzenried, G., 2014. A comparative study of CB-SEM and PLS-SEM for theory development in family firm research. Journal of Family Business Strategy, 5(1), pp.116-28. doi: http://dx.doi.org/10.1016/j.jfbs.2013.12.002
Azhar, S., Khalfan, M. and Maqsood, T., 2015. Building information modelling (BIM): now and beyond. Construction Economics and Building, 12(4), pp.15-28. doi: http://dx.doi.org/10.5130/ajceb.v12i4.3032
Bin Zakaria, Z., Mohamed Ali, N., Tarmizi Haron, A., Marshall-Ponting, A. and Abd Hamid, Z., 2013. Exploring the adoption of Building Information Modelling (BIM) in the Malaysian construction industry: A qualitative approach. International Journal of Research in Engineering and Technology, 2(8), pp.384-95. doi: http://dx.doi.org/10.15623/ijret.2013.0208060
Brewer, G. and Gajendran, T., 2012. Attitudes, behaviours and the transmission of cultural traits: Impacts on ICT/BIM use in a project team. Construction Innovation, 12(2), pp.198-215. doi: http://dx.doi.org/10.1108/14714171211215949
Bröchner, J. and Lagerqvist, O., 2016. From ideas to construction innovations: firms and universities collaborating. Construction Economics and Building, 16(1), pp.76-89. doi: http://dx.doi.org/10.5130/AJCEB.v16i1.4668
Cao, D., Li, H. and Wang, G., 2014. Impacts of isomorphic pressures on BIM adoption in construction projects. Journal of Construction Engineering and Management, 140(12). doi: http://dx.doi.org/10.1061/(ASCE)CO.1943-7862.0000903
Cao, D., Li, H., Wang, G. and Huang, T., 2016. Identifying and contextualising the motivations for BIM implementation in construction projects: An empirical study in China. International journal of project management. doi: http://dx.doi.org/10.1016/j.ijproman.2016.02.002
Chan, C.T.W., 2014. Barriers of Implementing BIM in Construction Industry from the Designers’ Perspective: A Hong Kong Experience. Journal of System and Management Sciences, 4(2), pp.24-40.
Coltman, T., Devinney, T.M., Midgley, D.F. and Venaik, S., 2008. Formative versus reflective measurement models: Two applications of formative measurement. Journal of Business Research, 61(12), pp.1250-62. doi: http://dx.doi.org/10.1016/j.jbusres.2008.01.013
Creswell, J.W., 2009. Research design: Qualitative, quantitative, and mixed methods approaches. Thousand Oaks, California: Sage Publications, Inc.
Davies, R. and Harty, C., 2013. Implementing ‘Site BIM’: a case study of ICT innovation on a large hospital project. Automation in Construction, 30, pp.15-24. doi: http://dx.doi.org/10.1016/j.autcon.2012.11.024
Demian, P. and Walters, D., 2014. The advantages of information management through building information modelling. Construction Management and Economics, 32(12), pp.1153-65. doi: http://dx.doi.org/10.1080/01446193.2013.777754
Engineers Australia, 2014. Driving building information modelling (BIM) uptake [online]. Available at: https://www.engineersaustralia.org.au/news/driving-building-information-modelling-bim-uptake.
Forsythe, P., 2014. The Case for BIM Uptake among Small Construction Contracting Businesses. In: The 31st International Symposium on Automation and Robotics in Construction and Mining. University of Technology Sydney, Sydney, Australia, June 23-25.
Forza, C., 2002. Survey research in operations management: a process‐based perspective. International Journal of Operations & Production Management, 22(2), pp.152-94. doi: http://dx.doi.org/10.1108/01443570210414310
Gerrard, A., Zuo, J., Zillante, G. and Skitmore, M., 2010. Building Information Modeling in the Australian Architecture Engineering and Construction Industry. In: U. Jason and I. Umit eds. Handbook of Research on Building Information Modeling and Construction Informatics: Concepts and Technologies. Hershey, PA, USA: IGI Global. pp.521-45. doi: http://dx.doi.org/10.4018/978-1-60566-928-1.ch023
Gibson, B., Rispoli, L. and Leung, D., 2011. Small, Medium-sized and Large Businesses in the Canadian Economy: Measuring Their Contribution to Gross Domestic Product in 2005. Statistics Canada, Analytical Studies Branch.
Gledson, B.J. and Wardleworth, S., 2016. Hybrid project delivery processes observed in constructor BIM innovation adoption. Construction Innovation, 16(2), pp.229-46. doi: http://dx.doi.org/10.1108/CI-04-2015-0020
Hair, J.F., 2010. Multivariate Data Analysis. 7th ed. NJ: Prentice Hall.
Hair, J.F., Hult, G.T.M., Ringle, C. and Sarstedt, M., 2014. A primer on partial least squares structural equation modeling (PLS-SEM). Thousands Oaks, California: Sage Publications.
Holt, G.D., 2014. Asking questions, analysing answers: relative importance revisited. Construction Innovation, 14(1), pp.2-16. doi: http://dx.doi.org/10.1108/CI-06-2012-0035
Hosseini, M.R., Chileshe, N., Zuo, J. and Baroudi, B., 2015. Adopting global virtual engineering teams in AEC Projects: A qualitative meta-analysis of innovation diffusion studies. Construction Innovation, 15(2), pp.151-79. doi: http://dx.doi.org/10.1108/CI-12-2013-0058
Khosrowshahi, F. and Arayici, Y., 2012. Roadmap for implementation of BIM in the UK construction industry. Engineering, Construction and Architectural Management, 19(6), pp.610-35. doi: http://dx.doi.org/10.1108/09699981211277531
Kline, R.B., 2011. Principles and practice of structural equation modeling. 3rd ed. New York, NY: The Guilford Press.
Manderson, A., Jefferies, M. and Brewer, G., 2015. Building information modelling and standardised construction contracts: a content analysis of the GC21 contract. Construction Economics and Building, 15(3), pp.72-84. doi: http://dx.doi.org/10.5130/AJCEB.v15i3.4608
McGraw Hill, 2014. The business value of BIM in Australia and New Zealand: How building information modelling is transforming the design and construction industry. Bedford, MA: McGraw Hill Construction.
Mignone, G., Hosseini, M.R., Chileshe, N. and Arashpour, M., 2016. Enhancing Collaboration in BIM-based Construction Networks through Organisational Discontinuity Theory: A case study of the New Royal Adelaide Hospital. Architectural Engineering and Design Management, 12(5), pp.333-352. doi: http://dx.doi.org/10.1080/17452007.2016.1169987
Miller, G., Sharma, S., Donald, C. and Amor, R., 2013. Developing a Building Information Modelling Educational Framework for the Tertiary Sector in New Zealand. In. Product Lifecycle Management for Society: Springer. pp.606-18. doi: http://dx.doi.org/10.1007/978-3-642-41501-2_60
Murphy, M.E., 2014. Implementing innovation: a stakeholder competency-based approach for BIM. Construction Innovation, 14(4), pp.433-52. doi: http://dx.doi.org/10.1108/CI-01-2014-0011
Neuman, W.L., 2006. Social research methods: qualitative and quantitative approaches. 6th ed. Boston: Pearson/Allyn and Bacon.
Poirier, E., Staub-French, S. and Forgues, D., 2015a. Embedded contexts of innovation: BIM adoption and implementation for a specialty contracting SME. Construction Innovation, 15(1), pp.42-65. doi: http://dx.doi.org/10.1108/CI-01-2014-0013
Poirier, E.A., Staub-French, S. and Forgues, D., 2015b. Assessing the performance of the building information modeling (BIM) implementation process within a small specialty contracting enterprise. Canadian Journal of Civil Engineering, 42(10), pp.766-78. doi: http://dx.doi.org/10.1139/cjce-2014-0484
Rodgers, C., Hosseini, M.R., Chileshe, N. and Rameezdeen, R., 2015. BIM within the Australian Construction Related Small and Medium Sized Enterprises: Awareness, Practices and Drivers. In: A.B.a.A.-N. Raidén, E, Procs 31st Annual ARCOM Conference. Lincoln, UK: Association of Researchers in Construction Management.
Rogers, E.M., 2010. Diffusion of Innovations. 4th ed. New York, NY: Simon and Schuster.
Saridakis, G., Muñoz Torres, R. and Johnstone, S., 2013. Do human resource practices enhance organizational commitment in SMEs with low employee satisfaction? British Journal of Management, 24(3), pp.445-58. doi: http://dx.doi.org/10.1111/j.1467-8551.2012.00814.x
Seens, D., 2015. SME Operating Performance. Industry Canada.
Shelton, J., Martek, I. and Chen, C., 2016. Implementation of innovative technologies in small-scale construction firms: Five Australian case studies. Engineering, Construction and Architectural Management, 23(2), pp.177-91. doi: http://dx.doi.org/10.1108/ECAM-01-2015-0006
Slaughter, E.S., 1998. Models of Construction Innovation. Journal of Construction Engineering and Management, 124(3), pp.226-31. doi: http://dx.doi.org/10.1061/(ASCE)0733-9364(1998)124:3(226)
SMEAA, 2011. SME infographic illustrates vital role of sector in Australian economy. http://www.smea.org.au/: SME Association of Australia (SMEAA).
Stanley, R. and Thurnell, D., 2014. The benefits of, and barriers to, implementation of 5D BIM for quantity surveying in New Zealand. Construction Economics and Building, 14(1), pp.105-117. doi: http://dx.doi.org/10.5130/ajceb.v14i1.3786
USCB, 2016. Economic Census of the United States: The United States Census Bureau (American Fact Finder).
Winch, G., 1998. Zephyrs of creative destruction: understanding the management of innovation in construction. Building Research & Information, 26(5), pp.268-79. doi: http://dx.doi.org/10.1080/096132198369751
Wong, K.K.-K., 2013. Partial least squares structural equation modeling (PLS-SEM) techniques using SmartPLS. Marketing Bulletin, 24(1), pp.1-32.
Wood, G., Davis, P. and Olatunji, O.A., 2011. Modelling the costs of corporate implementation of building information modelling. Journal of Financial Management of Property and Construction, 16(3), pp.211-31. doi: http://dx.doi.org/10.1108/13664381111179206